Skip to content
Quantum Zeitgeist
  • Quantum Computing
    • Quantum Algorithms
    • Quantum Applications
    • Quantum Computing Business News
    • Quantum Research News
    • Quantum Funding Landscape
    • Quantum Features
    • Quantum Cloud
    • Quantum Internet
    • Quantum Machine Learning
    • Quantum Security
  • Technology News
    • Artificial Intelligence
    • Metaverse
    • Machine Learning
    • Robotics
    • Physics
    • Technology Features
  • Quantum Navigator — Track 1,027 Quantum Computing Companies

Tag: superconductivity

  • Superconductivity’s Key Ingredient Now Easily Calculated by Computers
    Physics

    Superconductivity’s Key Ingredient Now Easily Calculated by Computers

    by Rusty FlintMarch 13, 2026
  • University of Houston Physicists Achieve Highest Ambient-Pressure Superconducting Transition Temperature
    Physics

    University of Houston Physicists Achieve Highest Ambient-Pressure Superconducting Transition Temperature

    by Quantum NewsMarch 12, 2026
  • Quantum computing processor with qubits represented on the Bloch sphere
    Quantum Research News, Physics

    Columbia Study Confirms Quantum Fluctuations Alter Properties of Nearby Crystals

    by Quantum NewsFebruary 27, 2026
  • Abstract illustration of a glowing spiral or vortex shape with multiple curved arms in blue, green, and pink neon light, twisting inward toward a bright central core against a dark background
    Physics

    Twisted Material Hosts Topological Superconductivity and Vortices

    by Rohail T.February 20, 2026
  • Chemists Gain Simpler Route to Understanding Superconductivity’s Key Properties
    Physics

    Chemists Gain Simpler Route to Understanding Superconductivity’s Key Properties

    by Rohail T.February 17, 2026
  • Repulsive Interactions Between Electrons Enable Superconductivity in Two-Dimensional Systems
    Physics

    Repulsive Interactions Between Electrons Enable Superconductivity in Two-Dimensional Systems

    by Rohail T.February 13, 2026
  • Relativistic Effects Unlock Superconductivity in New Lanthanum-Bismuth Material
    Physics

    Relativistic Effects Unlock Superconductivity in New Lanthanum-Bismuth Material

    by Rohail T.February 12, 2026
  • Superconductivity Simulated in Layered Material, Edging Closer to Room Temperature Applications
    Quantum Simulation

    Superconductivity Simulated in Layered Material, Edging Closer to Room Temperature Applications

    by Rohail T.February 12, 2026
  • Lattice Disorder Unlocks New Understanding of Superconductivity in Materials Like H3S
    Quantum Mechanics

    Lattice Disorder Unlocks New Understanding of Superconductivity in Materials Like H3S

    by Rohail T.February 11, 2026
  • Stripe Antiferromagnetism and Chiral Superconductivity Achieved in tWSe at -Point Van Hove Singularity
    Quantum Technology

    Stripe Antiferromagnetism and Chiral Superconductivity Achieved in tWSe at -Point Van Hove Singularity

    by Rohail T.February 2, 2026
  • Quantum Tunneling Achieved in Magic-Angle Twisted Graphene below 90 mK
    Technology

    Quantum Tunneling Achieved in Magic-Angle Twisted Graphene below 90 mK

    by Rohail T.January 31, 2026
  • Quantum Capacitance Advances Kitaev Chain Identification with Minimal 1-Dot Coupling
    Quantum Computing

    Quantum Capacitance Advances Kitaev Chain Identification with Minimal 1-Dot Coupling

    by Rohail T.January 30, 2026
  • Bosonic Phases Demonstrate 2e Cooper Pairing across Superconductor-Insulator Transitions
    Technology News

    Bosonic Phases Demonstrate 2e Cooper Pairing across Superconductor-Insulator Transitions

    by Rohail T.January 29, 2026
  • Nbse Intercalation Achieves Two-Fold Layer Spacing Expansion and Enhanced Charge-Density-Wave Order
    Quantum Research News

    Nbse Intercalation Achieves Two-Fold Layer Spacing Expansion and Enhanced Charge-Density-Wave Order

    by Rohail T.January 24, 2026
  • Stanford Researchers Develop Scalable Method for High-Quality Moire Superlattices
    Quantum Research News

    Stanford Researchers Develop Scalable Method for High-Quality Moire Superlattices

    by Quantum NewsJanuary 17, 2026
  • Strain-engineered Graphene Achieves Robust Filamentary Superconductivity Via Pair Density Waves
    Quantum Research News

    Strain-engineered Graphene Achieves Robust Filamentary Superconductivity Via Pair Density Waves

    by Rohail T.January 14, 2026
  • Magnetic Fields Drive Superconductivity in Rhombohedral Hexalayer Graphene, Violating Pauli Limit
    Physics

    Magnetic Fields Drive Superconductivity in Rhombohedral Hexalayer Graphene, Violating Pauli Limit

    by Rohail T.January 7, 2026
  • MIT Physicists Link Anyons to Unexpected Superconductivity
    Technology News

    MIT Physicists Link Anyons to Unexpected Superconductivity

    by Bretton DDecember 22, 2025
  • Kagome Superconductors Exhibit Incipient Charge Density Wave Order and Hidden Quantum Critical Point
    Technology News

    Kagome Superconductors Exhibit Incipient Charge Density Wave Order and Hidden Quantum Critical Point

    by Rohail T.December 12, 2025
  • Gross-neveu Model Exhibits Phase Transitions to Gapped Anomalous Hall Insulator at Finite Coupling
    Technology News

    Gross-neveu Model Exhibits Phase Transitions to Gapped Anomalous Hall Insulator at Finite Coupling

    by Rohail T.December 6, 2025
  • Crystal Field Fluctuations Enable Unconventional Superconductivity and Demonstrate Relevant Superconducting Gaps in Correlated Electron Systems
    Quantum Computing Business News

    Crystal Field Fluctuations Enable Unconventional Superconductivity and Demonstrate Relevant Superconducting Gaps in Correlated Electron Systems

    by Rohail T.December 5, 2025
  • Upt Superconductor Visualizes Half Quantum Vortices and Vortex Sheets Carrying H/2e Flux
    Quantum Technology

    Upt Superconductor Visualizes Half Quantum Vortices and Vortex Sheets Carrying H/2e Flux

    by Rohail T.December 4, 2025
  • Rhombohedral Graphene Exhibits Flat-Band Surface-State Superconductivity and Diverse Ferromagnetic Phases
    Technology

    Rhombohedral Graphene Exhibits Flat Band Surface State Superconductivity and Diverse Ferromagnetic Phases

    by Rohail T.November 24, 2025
  • Lap2 Demonstrates 7.8K Superconductivity at 78 GPa, Linked to Graphenelike Phosphorus Layer Structure Transition
    Technology

    Lap2 Demonstrates 7.8K Superconductivity at 78 GPa, Linked to Graphenelike Phosphorus Layer Structure Transition

    by Rohail T.November 19, 2025
  • Hubbard Model with Next-Nearest-Neighbor Hopping Reveals Rich Phase Diagram, Enabling Ferromagnetism, Superconductivity, and Charge Orders
    Quantum Research News

    Hubbard Model with Next-Nearest-Neighbor Hopping Reveals Rich Phase Diagram, Enabling Ferromagnetism, Superconductivity, and Charge Orders

    by Rohail T.November 19, 2025
  • MIT Physicists Find Evidence of Unconventional Superconductivity
    Quantum Physics

    MIT Physicists Find Evidence of Unconventional Superconductivity

    by Physics NewsNovember 13, 2025
  • 2h-tas2 Devices Achieve Enhanced Superconductivity Via In-Situ Molecular Intercalation of Tens-of-nm Flakes
    Quantum Technology

    2H-TaS₂ Devices Achieve Enhanced Superconductivity Via In-Situ Molecular Intercalation of Tens-of-nm Flakes

    by Rohail T.November 4, 2025
  • Fermilab's Quantum Center Gets $125M to Scale Tech
    Quantum Funding

    Fermilab’s Quantum Center Gets $125M to Scale Tech

    by Quantum NewsNovember 4, 2025
  • Quantum Ising Mean Field Dynamics Model Explains Superfluidity, Maps 1949 Landau Theory and 1957 BCS Hamiltonian
    Quantum Algorithms

    Quantum Ising Mean Field Dynamics Model Explains Superfluidity, Maps 1949 Landau Theory and 1957 BCS Hamiltonian

    by Rohail T.October 25, 2025
  • Electron-doped Hubbard Model Exhibits Finite-temperature Superconductivity Signatures Via Determinant Monte Carlo Simulations
    Quantum Computing Business News

    Electron-doped Hubbard Model Exhibits Finite-temperature Superconductivity Signatures Via Determinant Monte Carlo Simulations

    by Rohail T.October 24, 2025
  • Inassb Quantum Well with Nb Enables 1.3 meV Superconducting Gap and Gate-Tunable SQUID Oscillations
    Quantum Technology, Quantum Research News

    Inassb Quantum Well with Nb Enables 1.3 meV Superconducting Gap and Gate-Tunable SQUID Oscillations

    by Rohail T.October 6, 2025
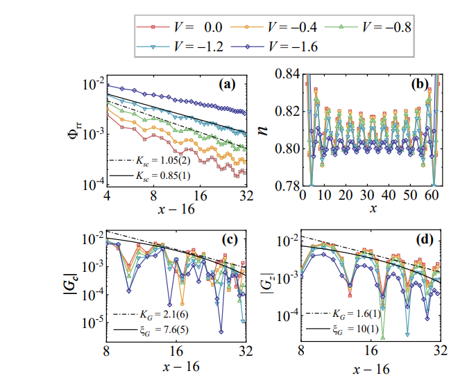
  • Extended Checkerboard Hubbard Ladder Demonstrates Enhanced D-wave Superconductivity at V\sim-0.3t and V\sim-0.4t
    Quantum Computing Business News, Quantum Research News

    Extended Checkerboard Hubbard Ladder Demonstrates Enhanced D-wave Superconductivity at V\sim-0.3t and V\sim-0.4t

    by Rohail T.October 3, 2025
  • Majorana Platform Driven by Meissner Effect Enables Robust Quantum States with High Tunability
    Quantum Computing, Quantum Research News

    Majorana Platform Driven by Meissner Effect Enables Robust Quantum States with High Tunability

    by Rohail T.October 2, 2025
  • Supermoiré Lattices Enable Cascade of Superconductor-Insulator Transitions and Strong Correlations in Twisted Graphene
    Quantum Research News

    Supermoiré Lattices Enable Cascade of Superconductor-Insulator Transitions and Strong Correlations in Twisted Graphene

    by Rohail T.October 1, 2025
  • Quantum Twisting Microscopy and Tunneling Spectroscopy Resolve Momentum-Resolved Bogoliubov Quasiparticle Spectra in Two-Dimensional Superconductors
    Quantum Algorithms, Quantum Research News

    Quantum Twisting Microscopy and Tunneling Spectroscopy Resolve Momentum-Resolved Bogoliubov Quasiparticle Spectra in Two-Dimensional Superconductors

    by Rohail T.October 1, 2025
  • Photo-induced Enhancement of Critical Temperature in Spin-Fermion Systems Demonstrates Nonthermal Mechanism
    Quantum Research News

    Photo-induced Enhancement of Critical Temperature in Spin-Fermion Systems Demonstrates Nonthermal Mechanism

    by Rohail T.September 26, 2025
  • La3ni2o7-delta Exhibits 80 K Superconductivity and Meissner Effect Confirmed Via Diamond Quantum Sensors
    Quantum Sensors

    La3ni2o7-delta Exhibits 80 K Superconductivity and Meissner Effect Confirmed Via Diamond Quantum Sensors

    by Quantum NewsSeptember 16, 2025
  • Researchers Unlock Exotic Metals and Superconductors Within Fractional Quantum Anomalous Hall Insulators, Predicting Mobile Anyons
    Quantum Research News

    Researchers Unlock Exotic Metals and Superconductors Within Fractional Quantum Anomalous Hall Insulators, Predicting Mobile Anyons

    by Quantum NewsSeptember 14, 2025
  • Twisted Trilayer Graphene Exhibits Correlated Insulators and Sawtooth Compressibility with Distinct Magic Angles
    Technology

    Twisted Trilayer Graphene Exhibits Correlated Insulators and Sawtooth Compressibility with Distinct Magic Angles

    by Quantum NewsSeptember 14, 2025
  • Bogoliubov Quasi-particles in Superconductors Are Integer-charged, Precluding Braiding Quantum Information
    Quantum Computing

    Bogoliubov Quasi-particles in Superconductors Are Integer-charged, Precluding Braiding Quantum Information

    by Quantum NewsSeptember 14, 2025
  • Gate-tunable Superconductivity in Monolayer WTe Exhibits Anomalies Beyond Standard Theory, Revealing Critical Carrier Density Effects
    Quantum Technology

    Gate-tunable Superconductivity in Monolayer WTe Exhibits Anomalies Beyond Standard Theory, Revealing Critical Carrier Density Effects

    by Quantum NewsSeptember 11, 2025
  • Researchers achieve 40 K superconductivity with high fields, overcoming magnetic suppression effects
    Physics

    Researchers achieve 40 K superconductivity with high fields, overcoming magnetic suppression effects

    by Quantum NewsAugust 26, 2025
  • Kagome Superconductors: Charge Order Survives Beyond Limits
    Physics

    Kagome Superconductors: Charge Order Survives Beyond Limits

    by Quantum NewsAugust 20, 2025
  • Caltech Boosts Quantum Storage with Sound-Based Memory
    Quantum Research News

    Caltech Boosts Quantum Storage with Sound-Based Memory

    by Quantum NewsAugust 14, 2025
  • Tantalum Disulfide Nanowires Exhibit Enhanced Superconductivity and Vortex Pinning
    Quantum Research News

    Tantalum Disulfide Nanowires Exhibit Enhanced Superconductivity and Vortex Pinning

    by Quantum NewsJuly 22, 2025
  • PtBi Exhibits Uniform Superconducting Gaps at Atomic Level, Enabling Majorana Zero Modes
    Quantum Research News

    PtBi Exhibits Uniform Superconducting Gaps at Atomic Level, Enabling Majorana Zero Modes

    by Quantum NewsJuly 21, 2025
  • NdIn Predicts Strong-Coupling Superconductivity and High Transition Temperatures under Pressure
    Physics

    NdIn Predicts Strong-Coupling Superconductivity and High Transition Temperatures under Pressure

    by Quantum NewsJuly 21, 2025
  • Kagome, Chiral, and Square-Net Lattices Host Diverse Topological Electronic States
    Quantum Technology

    Kagome, Chiral, and Square-Net Lattices Host Diverse Topological Electronic States

    by Quantum NewsJuly 18, 2025
  • Superconducting Domains Emerge in Organic Mott Insulator Near Fermi Liquid Transition
    Physics

    Superconducting Domains Emerge in Organic Mott Insulator Near Fermi Liquid Transition

    by Quantum NewsJuly 16, 2025
  • Layered Materials Drive Higher Temperature Superconductivity, New Simulations Reveal.
    Quantum Computing Business News

    Layered Materials Drive Higher Temperature Superconductivity, New Simulations Reveal.

    by Quantum NewsJuly 11, 2025
  • Neural States Advance Understanding of High-Temperature Superconductivity Physics
    Physics

    Neural States Advance Understanding of High-Temperature Superconductivity Physics

    by Quantum NewsJuly 5, 2025
  • Wannier Functions Reveal Hidden Band Topology in 2D Materials
    Physics

    Wannier Functions Reveal Hidden Band Topology in 2D Materials

    by Quantum NewsJuly 4, 2025
  • Nodal-line semimetals offer new routes for advanced electronic materials design.
    Physics

    Nodal-line semimetals offer new routes for advanced electronic materials design.

    by Quantum NewsJuly 4, 2025
  • Terahertz Spectroscopy Visualises Material Dynamics, Enabling Advanced Material Design.
    Technology News

    Terahertz Spectroscopy Visualises Material Dynamics, Enabling Advanced Material Design.

    by Quantum NewsJuly 4, 2025
  • Quantum Dot Hybrid System Exhibits Tunable Magnetism and Phase Transitions.
    Quantum Research News

    Quantum Dot Hybrid System Exhibits Tunable Magnetism and Phase Transitions.

    by Quantum NewsJuly 2, 2025
  • Rashba Coupling Enables Robust Quantum Computation with Majorana Zero Modes.
    Quantum Computing

    Rashba Coupling Enables Robust Quantum Computation with Majorana Zero Modes.

    by Quantum NewsJune 27, 2025
  • Superconductivity and Magnetism’s Interplay: Stabilising Pairing Without a Critical Point.
    Quantum Research News

    Superconductivity and Magnetism’s Interplay: Stabilising Pairing Without a Critical Point.

    by Quantum NewsJune 26, 2025
  • Superconducting Interfaces: Scalable Fabrication of Tunable Two-Dimensional Electron Gas Devices.
    Quantum Technology

    Superconducting Interfaces: Scalable Fabrication of Tunable Two-Dimensional Electron Gas Devices.

    by Quantum NewsJune 25, 2025
  • Wormholes and Superconductivity: Linking Quantum Systems with Traversable Connections.
    Quantum Physics

    Wormholes and Superconductivity: Linking Quantum Systems with Traversable Connections.

    by Quantum NewsJune 24, 2025
  • Quasiparticle Chirality and Electron-Phonon Interactions Drive Novel Material Phases.
    Physics

    Quasiparticle Chirality and Electron-Phonon Interactions Drive Novel Material Phases.

    by Quantum NewsJune 23, 2025
  • Pair-Density Wave Superconductors Exhibit Unusual Instability and Low Density.
    Physics

    Pair-Density Wave Superconductors Exhibit Unusual Instability and Low Density.

    by Quantum NewsJune 18, 2025
  • Engineering Long-Range Interactions: New Insights into Quantum Many-Body Physics.
    Physics

    Engineering Long-Range Interactions: New Insights into Quantum Many-Body Physics.

    by Quantum NewsJune 10, 2025
  • Majorana Bound States Enabled by Skyrmion Crystals Offer Quantum Advantage
    Quantum Research News

    Majorana Bound States Enabled by Skyrmion Crystals Offer Quantum Advantage

    by Quantum NewsJune 7, 2025
  • Quantum Vortices Earn Finnish Physicist Top European Science Prize
    Quantum People

    Quantum Vortices Earn Finnish Physicist Top European Science Prize

    by Quantum NewsJune 4, 2025
  • Pressure Tunes Superconductivity in Ternary Boride via Fermi Surface Topology.
    Physics

    Pressure Tunes Superconductivity in Ternary Boride via Fermi Surface Topology.

    by Quantum NewsMay 19, 2025
  • Exploring Ising Superconductor Resilience in Andreev Reflection and Interference Effects
    Physics

    Exploring Ising Superconductor Resilience in Andreev Reflection and Interference Effects

    by Quantum NewsMay 5, 2025
  • Revolutionizing Quantum Decoherence Mitigation: Controlling Flat Band Electronic Structures in Transition Metal Dichalcogenides
    Quantum Research News

    Revolutionizing Quantum Decoherence Mitigation: Controlling Flat Band Electronic Structures in Transition Metal Dichalcogenides

    by Quantum NewsMay 4, 2025
  • Machine Learning Potentials Reveal Charge Density Wave Behavior in Niobium Diselenide
    Physics

    Machine Learning Potentials Reveal Charge Density Wave Behavior in Niobium Diselenide

    by Quantum NewsApril 21, 2025
  • Trigonal PtBi Superconducting Weyl Semimetal: New Insights Into Electronic Properties From Hall And Nernst Effects
    Physics

    Trigonal PtBi Superconducting Weyl Semimetal: New Insights Into Electronic Properties From Hall And Nernst Effects

    by Quantum NewsApril 21, 2025
  • High-Quality Titanium Nitride Superconducting Films via Molecular Beam Epitaxy
    Quantum Research News

    High-Quality Titanium Nitride Superconducting Films via Molecular Beam Epitaxy

    by Quantum NewsApril 16, 2025
  • Coexistence of Superconductivity and Ferromagnetism in Heterostructures via Proximity Effect
    Physics

    Coexistence of Superconductivity and Ferromagnetism in Heterostructures via Proximity Effect

    by Quantum NewsApril 5, 2025
  • Scientists Discover New Method To Control Superconductivity By Adjusting Twist Angle In Layered Devices
    Physics

    Scientists Discover New Method To Control Superconductivity By Adjusting Twist Angle In Layered Devices

    by Quantum NewsMarch 21, 2025
  • Fundamental Constants Unlock Potential For Room-Temperature Superconductors: New Research Reveals
    Physics

    Fundamental Constants Unlock Potential For Room-Temperature Superconductors: New Research Reveals

    by SchrödingerMarch 6, 2025
  • Physicists measure superfluid stiffness in magic angle graphene successfully
    Technology News, Quantum Research News

    Physicists measure superfluid stiffness in magic angle graphene successfully

    by Quantum NewsFebruary 6, 2025
  • Quantum geometry boosts superconductor research
    Quantum Research News

    Quantum geometry boosts superconductor research

    by Quantum NewsFebruary 6, 2025
  • Ehime University reveals lazy electrons role in magnetism
    Quantum Research News

    Ehime University reveals lazy electrons role in magnetism

    by Quantum NewsJanuary 14, 2025
  • Sandia researcher Wei Pan elected American Physical Society fellow
    Quantum People

    Sandia researcher Wei Pan elected American Physical Society fellow

    by Quantum NewsJanuary 11, 2025
  • Peking University synthesizes superconducting 2D polymer material
    Physics, Quantum Physics

    Peking University synthesizes superconducting 2D polymer material

    by Quantum NewsDecember 27, 2024
  • Quantum Computers Revolutionize Scattering Simulations with New Algorithm
    Physics, Quantum Research News

    Quantum Computers Revolutionize Scattering Simulations with New Algorithm

    by Quantum NewsDecember 16, 2024
  • Breakthrough in room temperature superconductivity research achieved
    Physics

    Breakthrough in Room Temperature Superconductivity research achieved

    by Quantum NewsDecember 12, 2024
  • Graphene breakthrough enables quantum technology advancements suddenly
    Quantum Research News

    Graphene breakthrough enables quantum technology advancements

    by Quantum NewsDecember 11, 2024
  • Oxford Professor Wins Prestigious Physics Education Award
    Quantum People

    Oxford Professor Wins Prestigious Physics Education Award

    by Quantum NewsOctober 21, 2024
  • A Simple Guide to the Quantum Internet. A Look at The Future of Networking
    Quantum Internet

    A Simple Guide to the Quantum Internet. A Look at The Future of Networking

    by Kyrlynn DOctober 9, 2024
  • LK 99 Superconductor
    Physics

    LK 99 Superconductor. The Controversial Room Temperature Superconductor. Fact Or Fiction?

    by Quantum NewsOctober 4, 2024
  • Quantum Tunelling
    Quantum Physics

    Quantum Tunelling. What is This Phenomena?

    by Ivy DelaneySeptember 21, 2024
  • What is a Room Temperature Superconductor?
    Physics

    What is a Room Temperature Superconductor?

    by Quantum NewsSeptember 2, 2024
  • How Quantum Computers Are Accelerating Materials Science Discoveries
    Technology News

    How Quantum Computers Are Accelerating Materials Science Discoveries

    by Quantum NewsSeptember 2, 2024
  • Unlocking Dynamic Magnets' Secrets with Quantum Mechanical Properties
    Science

    Unlocking Dynamic Magnets’ Secrets with Quantum Mechanical Properties

    by Quantum NewsAugust 30, 2024
  • What Are Superconductors?
    Physics

    Room Temperature Superconductivity Claim Replicated, But Not As Expected

    by Quantum NewsJuly 1, 2024
  • Novel Approach Measures Charge in Hybrid Nanowire, Futhering Quantum Computing Research
    Quantum Hardware

    Novel Approach Measures Charge in Hybrid Nanowire, Futhering Quantum Computing Research

    by Quantum Computing NewsApril 5, 2024
  • Germanium-Based Gatemon Qubits In Hybrid Quantum Circuits
    Quantum Hardware

    Germanium-Based Gatemon Qubits In Hybrid Quantum Circuits

    by Quantum NewsApril 2, 2024
  • Ames Lab Scientists Discover First Natural Unconventional Superconductor in Miassite Mineral
    Physics

    Ames Lab Scientists Discover First Natural Unconventional Superconductor in Miassite Mineral

    by Quantum NewsMarch 20, 2024
  • Quantum Monte Carlo Algorithm Advances Quantum System Understanding, USC Researchers Reveal
    Quantum Research News

    Quantum Monte Carlo Algorithm Advances Quantum System Understanding, USC Researchers Reveal

    by Quantum NewsMarch 16, 2024
  • Chenyu Zhou, a research associate in the Center for Functional Nanomaterials (CFN) at Brookhaven National Laboratory and first author on the study, with Mingzhao Liu (CFN), Yimei Zhu (CMPMS), and Junsik Mun (CFN and CMPMSD), at the DynaCool Physical Property Measurement System (PPMS) in CFN. The team used this tool to make tantalum thin films with and without a protective magnesium layer so they could determine whether the magnesium coating would minimize tantalum oxidation. (Jessica Rotkiewicz/Brookhaven National Laboratory)
    Quantum Research News

    Magnesium Boosts Tantalum’s Potential for High-Performance Quantum Computing

    by Quantum NewsFebruary 7, 2024
  • Karlsruhe Institute and University of Grenoble Alpes Team Tackle Quantum Computing Crosstalk Errors
    Quantum Research News

    Karlsruhe Institute and University of Grenoble Alpes Team Tackle Quantum Computing Crosstalk Errors

    by Quantum NewsFebruary 6, 2024
  • LK99 superconductivity claims resurface with the Chinese Team stating that they have recreated the Lauded properties of the Original Research
    Physics, Quantum Physics

    LK99 superconductivity claims resurface with Chinese Team stating that they have recreated properties in Boost for Room Temperature Super Conductor

    by Physics NewsJanuary 7, 2024
  • Quantum Physicist-led Team Achieves Breakthrough in Protein Ion Detection with Superconducting Nanowires
    Physics

    Quantum Physicist-led Team Achieves Breakthrough in Protein Ion Detection with Superconducting Nanowires

    by SchrödingerDecember 5, 2023
  • MIT Physicists Achieve First 3D Electronic Flat Band, Paving Way for Superconductivity
    Physics, Quantum Physics

    MIT Physicists Achieve First 3D Electronic Flat Band, Paving Way for Superconductivity

    by SchrödingerNovember 13, 2023
  • Room Temperature Superconductor Discovery Retracted Amidst Controversy: Physicists Dias and Salamat Under Scrutiny
    Physics, Quantum Physics

    Room Temperature Superconductor Discovery Retracted over Controversy: Will We Ever Have Room Temperature Superconductors?

    by sigmoidNovember 8, 2023
  • World's First Room Temperature Superconductor Synthesized, Could Impact Development of Quantum Computing and Qubits
    Physics, Quantum Physics

    World’s First Room Temperature Superconductor Synthesized? Could it Impact Development of Quantum Computing and Qubits?

    by The Quantum MechanicJuly 30, 2023

Quantum Computing News

Quantum Zeitgeist covers the business, science and technology of quantum computing. Founded in 2018, we publish daily news, company analysis and original features for researchers, investors and technology leaders. Explore over 940 quantum companies across 47 countries in our Quantum Navigator.

Quantum Innovation Summit 2026
Quantum Companies, Quantum Computing Start-Up and Quantum Eco System
[Ad] The classic Textbook for learning Quantum Programming
[Ad] Pre Order This New Book On Quantum Programming In Depth
[Ad] Pre-Order This New Book On Quantum Programming In Depth

[Ad]

Quantum Computing News
Bluesky Logo

Quantum Computing

  • Quantum Applications
  • Quantum Books
  • Quantum Computing Courses
  • Quantum Machine Learning
  • Quantum Jobs
  • Quantum Programming

Quantum Computing

  • Quantum Cloud
  • Quantum Landscape
  • Quantum Cryptography
  • Quantum Finance
  • Quantum Hardware
  • Quantum Internet
  • Quantum Investment

Technology

  • Artificial Intelligence
  • Analog Computing
  • Deep Tech
  • Emerging Technology
  • High Performance Computing
  • Machine Learning
  • Space
  • Science
  • Robotics

About Us

  • Terms and Conditions
  • Privacy Policy
  • Contact Us

Disclaimer: All material, including information from or attributed to Quantum Zeitgeist or individual authors of content on this website, has been obtained from sources believed to be accurate as of the date of publication. However, Quantum Zeitgeist makes no warranty of the accuracy or completeness of the information and Quantum Zeitgeist does not assume any responsibility for its accuracy, efficacy, or use. Any information on the website obtained by Quantum Zeitgeist from third parties has not been reviewed for accuracy.

Copyright 2019 to 2025 The Quantum Zeitgeist website is owned and operated by Hadamard LLC, a Wyoming limited liability company.

Manage Consent
To provide the best experiences, we use technologies like cookies to store and/or access device information. Consenting to these technologies will allow us to process data such as browsing behavior or unique IDs on this site. Not consenting or withdrawing consent, may adversely affect certain features and functions.
Functional Always active
The technical storage or access is strictly necessary for the legitimate purpose of enabling the use of a specific service explicitly requested by the subscriber or user, or for the sole purpose of carrying out the transmission of a communication over an electronic communications network.
Preferences
The technical storage or access is necessary for the legitimate purpose of storing preferences that are not requested by the subscriber or user.
Statistics
The technical storage or access that is used exclusively for statistical purposes. The technical storage or access that is used exclusively for anonymous statistical purposes. Without a subpoena, voluntary compliance on the part of your Internet Service Provider, or additional records from a third party, information stored or retrieved for this purpose alone cannot usually be used to identify you.
Marketing
The technical storage or access is required to create user profiles to send advertising, or to track the user on a website or across several websites for similar marketing purposes.
  • Manage options
  • Manage services
  • Manage {vendor_count} vendors
  • Read more about these purposes
View preferences
  • {title}
  • {title}
  • {title}
Manage Consent
To provide the best experiences, we use technologies like cookies to store and/or access device information. Consenting to these technologies will allow us to process data such as browsing behavior or unique IDs on this site. Not consenting or withdrawing consent, may adversely affect certain features and functions.
Functional Always active
The technical storage or access is strictly necessary for the legitimate purpose of enabling the use of a specific service explicitly requested by the subscriber or user, or for the sole purpose of carrying out the transmission of a communication over an electronic communications network.
Preferences
The technical storage or access is necessary for the legitimate purpose of storing preferences that are not requested by the subscriber or user.
Statistics
The technical storage or access that is used exclusively for statistical purposes. The technical storage or access that is used exclusively for anonymous statistical purposes. Without a subpoena, voluntary compliance on the part of your Internet Service Provider, or additional records from a third party, information stored or retrieved for this purpose alone cannot usually be used to identify you.
Marketing
The technical storage or access is required to create user profiles to send advertising, or to track the user on a website or across several websites for similar marketing purposes.
  • Manage options
  • Manage services
  • Manage {vendor_count} vendors
  • Read more about these purposes
View preferences
  • {title}
  • {title}
  • {title}