Skip to content
Quantum Zeitgeist
  • Quantum Computing
    • Quantum Algorithms
    • Quantum Applications
    • Quantum Computing Business News
    • Quantum Research News
    • Quantum Funding Landscape
    • Quantum Features
    • Quantum Cloud
    • Quantum Internet
    • Quantum Machine Learning
    • Quantum Security
  • Technology News
    • Artificial Intelligence
    • Metaverse
    • Machine Learning
    • Robotics
    • Physics
    • Technology Features
  • Quantum Navigator — Track 1,027 Quantum Computing Companies

Tag: density functional theory

  • Superconductivity’s Key Ingredient Now Easily Calculated by Computers
    Physics

    Superconductivity’s Key Ingredient Now Easily Calculated by Computers

    by Rusty FlintMarch 13, 2026
  • Electron density cloud rendered precisely within material lattice, neural overlay refining predictions, ultra macro detail
    Quantum Physics, Machine Learning

    Better Electron Models Boost Materials and Machine Learning

    by Rohail T.February 25, 2026
  • Abstract illustration of multiple molecule or atom models with interconnected spheres and bonds hovering above a bright glowing ground plane, rendered in blue and white light against a dark background
    Quantum Simulation

    New Functionals Boost Accuracy of Catalyst Simulations

    by Rohail T.February 20, 2026
  • Close-up of metallic rectangular panels connected by glowing blue electric pathways, resembling a futuristic circuit or energy grid surface.
    Physics

    Surface Currents Found in Unusual Material TaSb

    by Rohail T.February 19, 2026
  • Minimalist black-and-white scene of a thin disk suspended above a lattice-like base, connected by a narrow vertical beam against a dark background.
    Physics

    Advanced Model Links Material Properties to Efficient Electron Source Performance

    by Rohail T.February 19, 2026
  • Isometric illustration of multiple thin dark rectangular layers stacked on top of each other with luminous blue trim along the edges, suggesting a layered material or technology component
    Physics

    Steel Strength Boosted by Interface Atom Arrangement

    by Rohail T.February 18, 2026
  • Abstract illustration of a perfect sphere constructed from hundreds of tiny white luminous nodes connected by thin lines, forming a geodesic or mesh network structure against a dark background
    Physics

    Manganese Vacancies Explain Battery Fade in Potential Grid-Scale Energy Storage

    by Rohail T.February 17, 2026
  • Improved Atomic Starting Points Accelerate Complex Nuclear Calculations
    Quantum Physics

    Improved Atomic Starting Points Accelerate Complex Nuclear Calculations

    by Rohail T.February 17, 2026
  • Bromine and Iodine Stabilise Materials Showing Promising Superconductivity Properties
    Physics

    Bromine and Iodine Stabilise Materials Showing Promising Superconductivity Properties

    by Rohail T.February 16, 2026
  • Quantum Sensor Noise Mapped to Atomic Defects, Paving Way for Better Devices
    Quantum Hardware

    Quantum Sensor Noise Mapped to Atomic Defects, Paving Way for Better Devices

    by Rohail T.February 13, 2026
  • Atom-By-Atom Simulations of Nanoscale Devices Now Possible with Boosted Algorithms
    Quantum Machine Learning

    Atom-By-Atom Simulations of Nanoscale Devices Now Possible with Boosted Algorithms

    by Rohail T.February 11, 2026
  • Organic Molecules Boost Light Emission in New Perovskite Materials
    Quantum Research News

    Organic Molecules Boost Light Emission in New Perovskite Materials

    by Rohail T.February 10, 2026
  • AI Learns Quantum Chemistry Functions, Boosting Material Design and Discovery
    Quantum Research News

    AI Learns Quantum Chemistry Functions, Boosting Material Design and Discovery

    by Rohail T.February 6, 2026
  • Shows Geoopt-Net Predicts B3lyp/tzvp-Level Molecular Geometries in One Forward Pass
    Quantum Machine Learning

    Shows Geoopt-Net Predicts B3lyp/tzvp-Level Molecular Geometries in One Forward Pass

    by Rohail T.February 6, 2026
  • New 2D Material Combines Magnetism and Quantum Properties at Room Temperature
    Quantum Technology

    New 2D Material Combines Magnetism and Quantum Properties at Room Temperature

    by Rohail T.February 5, 2026
  • Two-Step S 2 Mechanism Achieves Insight with Vibrational Strong Coupling (VSC) Studies
    Quantum Research News

    Two-Step S 2 Mechanism Achieves Insight with Vibrational Strong Coupling (VSC) Studies

    by Rohail T.February 3, 2026
  • Stripe Antiferromagnetism and Chiral Superconductivity Achieved in tWSe at -Point Van Hove Singularity
    Quantum Technology

    Stripe Antiferromagnetism and Chiral Superconductivity Achieved in tWSe at -Point Van Hove Singularity

    by Rohail T.February 2, 2026
  • Synthesis Achieves 71% Bonding Efficiency in Graphene Nanoribbon-Graphdiyne Heterojunctions
    Technology

    Synthesis Achieves 71% Bonding Efficiency in Graphene Nanoribbon-Graphdiyne Heterojunctions

    by Rohail T.January 29, 2026
  • Epitaxial Na KSb(111) Growth Reveals Dispersive Surface States Via ARPES
    Technology

    Epitaxial Na KSb(111) Growth Reveals Dispersive Surface States Via ARPES

    by Rohail T.January 29, 2026
  • Co Diffusion on ASW Achieves Key Insights into 22-Molecule Ice Chemistry
    Quantum Research News

    Co Diffusion on ASW Achieves Key Insights into 22-Molecule Ice Chemistry

    by Rohail T.January 23, 2026
  • Catmaster Achieves Faster Heterogeneous Catalysis Research Using LLM-Driven Workflows
    Technology

    Catmaster Achieves Faster Heterogeneous Catalysis Research Using LLM-Driven Workflows

    by Rohail T.January 23, 2026
  • Enables Fiber-Based Quantum Communication Via Stable Defect States in Hexagonal Boron Nitride
    Technology

    Enables Fiber-Based Quantum Communication Via Stable Defect States in Hexagonal Boron Nitride

    by Rohail T.January 9, 2026
  • Vibrational Circular Dichroism Achieves Origin-Invariant Spectra Without Gauge-Including Atomic Orbitals
    Technology

    Vibrational Circular Dichroism Achieves Origin-Invariant Spectra Without Gauge-Including Atomic Orbitals

    by Rohail T.January 9, 2026
  • Non-euclidean Interfaces Enable Exploration of Infinite Graphene Lattice Orientations
    Technology

    Non-euclidean Interfaces Enable Exploration of Infinite Graphene Lattice Orientations

    by Rohail T.January 8, 2026
  • Scanning Tunneling Microscopy of Fe Adatoms in 1T-TaS₂
    Physics

    Scanning Tunneling Microscopy Reveals Distinct Fe Adatom Coupling in 1T-TaS2 Charge Density Waves

    by Rohail T.January 7, 2026
  • Robust One-Dimensional Edge Channels Achieved in Three-Dimensional Quantum Spin Hall Insulator
    Quantum Technology

    Robust One-Dimensional Edge Channels Achieved in Three-Dimensional Quantum Spin Hall Insulator

    by Rohail T.January 5, 2026
  • Polymer Research Advances with OPoly26, a 6.57 Million Data Point Benchmark Dataset
    Quantum Machine Learning

    Polymer Research Advances with OPoly26, a 6.57 Million Data Point Benchmark Dataset

    by Rohail T.January 5, 2026
  • Data-driven Quantum Embedding Enables Faster Simulations, Reducing Computational Bottlenecks in DFT
    Quantum Mechanics

    Data-driven Quantum Embedding Enables Faster Simulations, Reducing Computational Bottlenecks in DFT

    by Rohail T.December 31, 2025
  • Sn Intercalation Enables Gap Opening in Quasi-Free-Standing Graphene for Advanced Electronics
    Technology

    Sn Intercalation Enables Gap Opening in Quasi-Free-Standing Graphene for Advanced Electronics

    by Rohail T.December 30, 2025
  • Machine Learning Molecular Dynamics Advances Thermal Modelling of Graphene Oxide
    Quantum Machine Learning

    Machine Learning Molecular Dynamics Advances Thermal Modelling of Graphene Oxide

    by Rohail T.December 30, 2025
  • Nitrogen-vacancy Centers Advance Vibronic Coupling Understanding Via Multimode Jahn-Teller Effect Study
    Quantum Research News

    Nitrogen-vacancy Centers Advance Vibronic Coupling Understanding Via Multimode Jahn-Teller Effect Study

    by Rohail T.December 22, 2025
  • High-throughput Characterization of Moiré Homobilayers Enables Rapid Material Discovery
    Physics

    High-throughput Characterization of Moiré Homobilayers Enables Rapid Material Discovery

    by Rohail T.December 22, 2025
  • Two-dimensional Noble Metals Enable 5% More Flexible Electronics Via Kagome Topology
    Technology

    Two-dimensional Noble Metals Enable 5% More Flexible Electronics Via Kagome Topology

    by Rohail T.December 19, 2025
  • Machine Learning Achieves 95% Accuracy in Optimized K-Point Mesh Generation for Quantum ESPRESSO
    Quantum Research News

    Machine Learning Achieves 95% Accuracy in Optimized K-Point Mesh Generation for Quantum ESPRESSO

    by Rohail T.December 19, 2025
  • Chemical Engineering Enables Altermagnetism in Two-Dimensional Metal-Organic Frameworks
    Deep Tech

    Chemical Engineering Enables Altermagnetism in Two-Dimensional Metal-Organic Frameworks

    by Rohail T.December 18, 2025
  • Quantum-inspired Rule Achieves Faster Discovery of Topological Materials
    Quantum Research News

    Quantum-inspired Rule Achieves Faster Discovery of Topological Materials

    by Rohail T.December 17, 2025
  • Local Quantum Friction Method Achieves Unitary Dynamics in Large Fermi Systems
    Quantum Simulation

    Local Quantum Friction Method Achieves Unitary Dynamics in Large Fermi Systems

    by Rohail T.December 17, 2025
  • Deep Learning-Based Quantum Transport Simulations Enable Efficient Analysis of Two-Dimensional Materials
    Technology

    Deep Learning-Based Quantum Transport Simulations Enable Efficient Analysis of Two-Dimensional Materials

    by Rohail T.December 16, 2025
  • Ai-powered Discovery Reveals Electronic Quasicrystals and Crystalline Phases in Semiconductor Quantum Wells
    Quantum Mechanics

    Ai-powered Discovery Reveals Electronic Quasicrystals and Crystalline Phases in Semiconductor Quantum Wells

    by Rohail T.December 13, 2025
  • First-principles Study Reveals Ge-Sn Terminated Halide Perovskite Interfaces for Enhanced Optoelectronic and Piezoelectric Properties
    Emerging Technology

    First-principles Study Reveals Ge-Sn Terminated Halide Perovskite Interfaces for Enhanced Optoelectronic and Piezoelectric Properties

    by Rohail T.December 13, 2025
  • Quantum Density Functional Theory Framework Calculates Cubic Response at First Harmonic for Non-Linear Systems
    Physics

    Quantum Density Functional Theory Framework Calculates Cubic Response at First Harmonic for Non-Linear Systems

    by Rohail T.December 10, 2025
  • Remote Epitaxial Frustration Demonstrated in GdAuGe Films with Disordered Interlayers and Rotated Relationships
    Technology

    Remote Epitaxial Frustration Demonstrated in GdAuGe Films with Disordered Interlayers and Rotated Relationships

    by Rohail T.December 9, 2025
  • Gpu-portable Density Functional Theory Achieves 2.0-2.8 Speedups on AMD MI300A and Intel GH200 Architectures
    Technology News

    Gpu-portable Density Functional Theory Achieves 2.0-2.8 Speedups on AMD MI300A and Intel GH200 Architectures

    by Rohail T.December 6, 2025
  • Transformer Predicts Stability of 13-Atom Nanoclusters, Trained on 240 Bimetallic DFT Calculations
    Quantum Research News

    Transformer Predicts Stability of 13-Atom Nanoclusters, Trained on 240 Bimetallic DFT Calculations

    by Rohail T.December 5, 2025
  • 2d Materials: Exchange-Correlation Functionals Predict Structural, Optoelectronic, Magnetic, and Thermal Properties
    Quantum Machine Learning

    2d Materials: Exchange-Correlation Functionals Predict Structural, Optoelectronic, Magnetic, and Thermal Properties

    by Rohail T.December 3, 2025
  • Neural Network Approximation Advances Regularized Density Functionals for Ground-State Energy Minimization
    Quantum Research News

    Neural Network Approximation Advances Regularized Density Functionals for Ground-State Energy Minimization

    by Rohail T.November 25, 2025
  • Geometry of Generalized Density Functional Theories Solves -Representability Problem Using Symplectic Geometry
    Quantum Research News

    Geometry of Generalized Density Functional Theories Solves -Representability Problem Using Symplectic Geometry

    by Rohail T.November 24, 2025
  • La₂NiO₄ under Pressure Exhibits Suppressed 0.4, 0.7 eV Stoner Parameter, Precluding Superconductivity
    Technology News

    La₂NiO₄ under Pressure Exhibits Suppressed 0.4, 0.7 eV Stoner Parameter, Precluding Superconductivity

    by Rohail T.November 21, 2025
  • Twin-boundary-induced Nonrelativistic Spin Splitting Enables Spintronic Devices in BiCoO and CoO Materials
    Quantum Computing Business News

    Twin-boundary-induced Nonrelativistic Spin Splitting Enables Spintronic Devices in BiCoO and CoO Materials

    by Rohail T.November 20, 2025
  • Dft Workflow Interoperability Enables Engine-Agnostic Calculations across CASTEP, VASP and Other Codes
    Quantum Internet

    Dft Workflow Interoperability Enables Engine-Agnostic Calculations across CASTEP, VASP and Other Codes

    by Rohail T.November 18, 2025
  • Txl Fusion: Machine Learning Framework Accelerates Topological Materials Discovery with Enhanced Accuracy
    Quantum Computing

    Txl Fusion: Machine Learning Framework Accelerates Topological Materials Discovery with Enhanced Accuracy

    by Rohail T.November 17, 2025
  • Co Sn S Magnetism Suppressed under 10.8 GPa Pressure, Enabling Tunable Band Topology
    Technology News

    Co Sn S Magnetism Suppressed under 10.8 GPa Pressure, Enabling Tunable Band Topology

    by Rohail T.November 15, 2025
  • Quantum Hexaborides Demonstrate Exchange Field Induced Symmetry Breaking in Materials Physics
    Technology News

    Quantum Hexaborides Demonstrate Exchange Field Induced Symmetry Breaking in Materials Physics

    by Rohail T.November 13, 2025
  • Machine Learning and DFT Uncover Drug Adsorption on 2D Graphsene with 0.075 Energy Criterion
    Technology

    Machine Learning and DFT Uncover Drug Adsorption on 2D Graphsene with 0.075 Energy Criterion

    by Rohail T.November 13, 2025
  • Sulfur Substitution Suppresses Auxetic Behavior in Black Phosphorus, Altering Its Mechanical and Electronic Properties
    Emerging Technology

    Sulfur Substitution Suppresses Auxetic Behavior in Black Phosphorus, Altering Its Mechanical and Electronic Properties

    by Rohail T.November 11, 2025
  • Twisted Graphene Bilayers Exhibit Robust Superlubricity with 0.4 eV Corrugations and 0.03 eV Domain Wall Energies
    Technology

    Twisted Graphene Bilayers Exhibit Robust Superlubricity with 0.4 eV Corrugations and 0.03 eV Domain Wall Energies

    by Rohail T.November 10, 2025
  • Atomistic QM/Classical Modeling Accurately Calculates Surface-Enhanced Infrared Absorption Spectra of Adsorbed Molecules
    Quantum Simulation

    Atomistic QM/Classical Modeling Accurately Calculates Surface-Enhanced Infrared Absorption Spectra of Adsorbed Molecules

    by Rohail T.November 10, 2025
  • Lanio Superconductivity: Study Maps Pressure-Dependent Temperature and Reveals Interlayer Pairing in Bilayer Hubbard Model
    Technology News

    Lanio Superconductivity: Study Maps Pressure-Dependent Temperature and Reveals Interlayer Pairing in Bilayer Hubbard Model

    by Rohail T.November 7, 2025
  • Foundation Potential Benchmarking Rivals Quantum Chemistry for Predicting Molecular Redox Potentials in PCET Reactions
    Quantum Machine Learning

    Foundation Potential Benchmarking Rivals Quantum Chemistry for Predicting Molecular Redox Potentials in PCET Reactions

    by Rohail T.November 5, 2025
  • Bonding Character Predicts Huang-Rhys Factors, Circumventing Phonon Calculations for Optically Active Defects
    Quantum Research News

    Bonding Character Predicts Huang-Rhys Factors, Circumventing Phonon Calculations for Optically Active Defects

    by Rohail T.November 5, 2025
  • Electrochemical Electron Transfer: Atomistic Simulations Elucidate Kinetics at Interfaces and Beyond
    Quantum Simulation

    Electrochemical Electron Transfer: Atomistic Simulations Elucidate Kinetics at Interfaces and Beyond

    by Rohail T.November 5, 2025
  • Fe3-xmnxsn2 Kagome Metal Films Demonstrate Tunable Electronic Properties Via Alloying
    Quantum Technology

    Fe₃₋ₓMnₓSn₂ Kagome Metal Films Demonstrate Tunable Electronic Properties via Alloying

    by Rohail T.November 4, 2025
  • Lightpfp: Data-efficient Machine Learning Achieves Ab Initio Accuracy at Scale, Leveraging Universal Potentials for Tailored Simulations
    Quantum Technology

    Lightpfp: Data-efficient Machine Learning Achieves Ab Initio Accuracy at Scale, Leveraging Universal Potentials for Tailored Simulations

    by Rohail T.November 4, 2025
  • Deep Learning Accelerates First-Principles Quantum Transport Simulations Without Manual Feature Engineering
    Technology

    Deep Learning Accelerates First-Principles Quantum Transport Simulations Without Manual Feature Engineering

    by Rohail T.October 30, 2025
  • PtSe₂/Graphene Heterostructures Exhibit 0.55 Interlayer Hybridization, Revealing Minigap Openings with 0.9 π-Band Modulation
    Technology

    PtSe₂/Graphene Heterostructures Exhibit 0.55 Interlayer Hybridization, Revealing Minigap Openings with 0.9 π-Band Modulation

    by Rohail T.October 30, 2025
  • Quantum Monte Carlo Study Reveals Instability of Two-Dimensional Dipolar Fermi Fluids at All Densities
    Quantum Research News

    Quantum Monte Carlo Study Reveals Instability of Two-Dimensional Dipolar Fermi Fluids at All Densities

    by Rohail T.October 24, 2025
  • Computational Study Screens Inhibitors for Area-Selective Atomic Layer Deposition on Amorphous Surfaces
    Emerging Technology, Quantum Research News

    Computational Study Screens Inhibitors for Area-Selective Atomic Layer Deposition on Amorphous Surfaces

    by Rohail T.October 22, 2025
  • Robust Orbital-Selective Flat Bands in NbOCl2 and TaOCl2 Enable Exotic Correlations
    Quantum Research News

    Robust Orbital-Selective Flat Bands in NbOCl2 and TaOCl2 Enable Exotic Correlations

    by Rohail T.October 20, 2025
  • Dft-qed Model Calculates Optical Response of Graphene Quantum Dots, Matching Experimental Results
    Technology

    Dft-qed Model Calculates Optical Response of Graphene Quantum Dots, Matching Experimental Results

    by Rohail T.October 16, 2025
  • Crystal structure diagrams of a honeycomb lattice with MnO6 and MoO4 units, exchange interactions, and X-ray diffraction pattern with crystal images.
    Physics, Quantum Research News

    Kmnmoo Exhibits Possible Magnon Bose-Einstein Condensation at ~T, Expanding BEC Criticality in High-spin Honeycomb Lattices

    by Rohail T.October 15, 2025
  • Quantum Simulation of Carbon Capture in Fe-MOF-74 Reveals DFT Functional Variability and Enables More Accurate Predictions
    Quantum Algorithms, Quantum Research News

    Quantum Simulation of Carbon Capture in Fe-MOF-74 Reveals DFT Functional Variability and Enables More Accurate Predictions

    by Rohail T.October 8, 2025
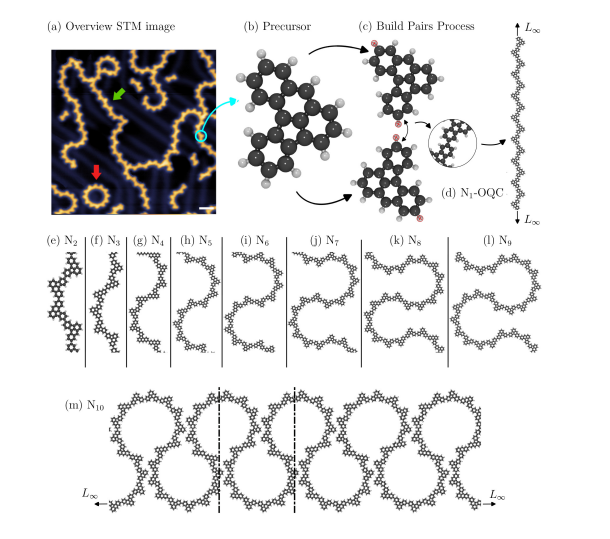
  • Organic Quantum Chains Demonstrate Robust Energy Gaps and Emergent Hierarchy in Localized States
    Quantum Internet

    Organic Quantum Chains Demonstrate Robust Energy Gaps and Emergent Hierarchy in Localized States

    by Rohail T.October 7, 2025
  • High-pressure DFT Study Reveals Stable BeX (X=S, Se, Te) Phonon Spectra up to 10 GPa for Optoelectronics
    Technology, Quantum Research News

    High-pressure DFT Study Reveals Stable BeX (X=S, Se, Te) Phonon Spectra up to 10 GPa for Optoelectronics

    by Rohail T.October 6, 2025
  • Invariant Crystal Property Prediction with Pseudo-Particle Ray Diffraction Enables Accurate Modelling Beyond Limitations of Finite Receptive Fields
    Quantum Machine Learning, Quantum Research News

    Invariant Crystal Property Prediction with Pseudo-Particle Ray Diffraction Enables Accurate Modelling Beyond Limitations of Finite Receptive Fields

    by Rohail T.September 30, 2025
  • Single Crystals Exhibit Metallic Behaviour and Lack Charge Density Waves at 488 K
    Quantum Technology, Quantum Research News

    Single Crystals Exhibit Metallic Behaviour and Lack Charge Density Waves at 488 K

    by Rohail T.September 29, 2025
  • Cyclo-graphyne: 2D Carbon Allotrope Exhibits Dirac Cones and Thermal Stability up to 1000 K
    Quantum Research News, Technology

    Cyclo-graphyne: 2D Carbon Allotrope Exhibits Dirac Cones and Thermal Stability up to 1000 K

    by Rohail T.September 26, 2025
  • Highly-doped Graphene Exhibits Flattened Conduction Bands and Modified Electronic Structure Via Intercalation
    Quantum Features, Quantum Research News

    Highly-doped Graphene Exhibits Flattened Conduction Bands and Modified Electronic Structure Via Intercalation

    by Rohail T.September 25, 2025
  • H-atom Scattering on Ge(111) Elucidated by Hierarchical Equations of Motion Simulations
    Quantum Research News, Quantum Features

    H-atom Scattering on Ge(111) Elucidated by Hierarchical Equations of Motion Simulations

    by Rohail T.September 24, 2025
  • Michigan Team Advances Density Functional Theory with Machine-Learned Functional
    Quantum Computing Business News

    Michigan Team Advances Density Functional Theory with Machine-Learned Functional

    by Quantum NewsSeptember 18, 2025
  • Machine Learning Force Fields Simulate Large Atomistic Systems, Improving Fidelity for Quantum Qubits and Sensors
    Quantum Sensors

    Machine Learning Force Fields Simulate Large Atomistic Systems, Improving Fidelity for Quantum Qubits and Sensors

    by Quantum NewsSeptember 17, 2025
  • Formalism Constructs Generic Continuum Models for Moiré Superlattices, Applicable to Any Twist Angle
    Quantum Mechanics

    Formalism Constructs Generic Continuum Models for Moiré Superlattices, Applicable to Any Twist Angle

    by Quantum NewsSeptember 16, 2025
  • Boron Nitride Defects Achieve Stable, Addressable Quantum Spins
    Quantum Sensors

    Boron Nitride Defects Achieve Stable, Addressable Quantum Spins

    by Quantum NewsSeptember 14, 2025
  • Van Der Waals Ferromagnets Achieve over 90% Spin Polarization for Enhanced Spintronics
    Quantum Technology

    Van Der Waals Ferromagnets Achieve over 90% Spin Polarization for Enhanced Spintronics

    by Quantum NewsSeptember 10, 2025
  • Kekulé-ordered EU on SiC Creates Replica Dirac Bands with Gap Opening and Strong Exchange Coupling
    Physics

    Kekulé-ordered EU on SiC Creates Replica Dirac Bands with Gap Opening and Strong Exchange Coupling

    by Quantum NewsSeptember 10, 2025
  • Two-dimensional Ferroelectric Alpha-In2Se3 Exhibits Robust Valence Band Inversion at Gamma Point
    Quantum Technology

    Two-dimensional Ferroelectric Alpha-In2Se3 Exhibits Robust Valence Band Inversion at Gamma Point

    by Quantum NewsSeptember 9, 2025
  • Researchers Accurately Predict Phonon Properties in 2,429 Materials Using Universal ML Potentials
    Quantum Machine Learning

    Researchers Accurately Predict Phonon Properties in 2,429 Materials Using Universal ML Potentials

    by Quantum NewsSeptember 5, 2025
  • Researchers Reveal How Pressure Alters Silicon Carbide’s Electronic Gap by 80 meV, Impacting Materials Science
    Quantum Research News

    Researchers Reveal How Pressure Alters Silicon Carbide’s Electronic Gap by 80 meV, Impacting Materials Science

    by Quantum NewsSeptember 3, 2025
  • Researchers Advance Electrocatalyst Design with Grand Canonical Potential-Kinetics Method, Addressing Potential-dependent Capacitance
    Physics

    Researchers Advance Electrocatalyst Design with Grand Canonical Potential-Kinetics Method, Addressing Potential-dependent Capacitance

    by Quantum NewsSeptember 3, 2025
  • Researchers Achieve 17-fold Speed-up in Materials Science with Universal MLIPs and 6% Accuracy
    Artificial Intelligence

    Researchers Achieve 17-fold Speed-up in Materials Science with Universal MLIPs and 6% Accuracy

    by Quantum NewsSeptember 1, 2025
  • Researchers unlock machine learning potential with 120 million atomic configurations for materials discovery
    Machine Learning

    Researchers unlock machine learning potential with 120 million atomic configurations for materials discovery

    by Quantum NewsAugust 30, 2025
  • Mechanical Strain Modulates Hydrogen Desorption in Transition-Metal Intercalated Bilayer Graphene
    Physics

    Mechanical Strain Modulates Hydrogen Desorption in Transition-Metal Intercalated Bilayer Graphene

    by Quantum NewsAugust 18, 2025
  • Random Phase Approximation Improves Accuracy of Transition Metal Oxide Calculations
    Quantum Technology

    Random Phase Approximation Improves Accuracy of Transition Metal Oxide Calculations

    by Quantum NewsAugust 13, 2025
  • Breaking Symmetry Induces Strong Topological Insulating State in Bulk Iron Selenide
    Quantum Research News

    Breaking Symmetry Induces Strong Topological Insulating State in Bulk Iron Selenide

    by Quantum NewsAugust 6, 2025
  • Downscaling 2D Transition Metal Dichalcogenide FETs Reveals Classical-to-Quantum Crossover
    Quantum Research News

    Downscaling 2D Transition Metal Dichalcogenide FETs Reveals Classical-to-Quantum Crossover

    by Quantum NewsAugust 5, 2025
  • First-Principles Model Maps Spin Relaxation in Vanadyl-Based Molecular Qubits
    Quantum Research News

    First-Principles Model Maps Spin Relaxation in Vanadyl-Based Molecular Qubits

    by Quantum NewsJuly 27, 2025
  • Synchrotron Radiation Reveals Molecular Ionisation Dynamics with Spin-Orbit Coupling
    Quantum Research News

    Synchrotron Radiation Reveals Molecular Ionisation Dynamics with Spin-Orbit Coupling

    by Quantum NewsJuly 24, 2025
  • Layer-Dependent Nonlinear Absorption Observed in Two-Dimensional Muscovite Silicate
    Science

    Layer-Dependent Nonlinear Absorption Observed in Two-Dimensional Muscovite Silicate

    by Quantum NewsJuly 23, 2025
  • Machine Learning Surrogates Reduce Carbon Emissions in Photovoltaic Material Screening
    Machine Learning

    Machine Learning Surrogates Reduce Carbon Emissions in Photovoltaic Material Screening

    by Quantum NewsJuly 19, 2025
  • Effective Medium Theory Accurately Models Electron Transport in Nanodevices.
    Technology News

    Effective Medium Theory Accurately Models Electron Transport in Nanodevices.

    by Quantum NewsJuly 14, 2025
  • Van der Waals materials unlock new spintronics and tech possibilities
    Quantum Computing Business News

    Van der Waals materials unlock new spintronics and tech possibilities

    by Quantum NewsJuly 8, 2025

Posts navigation

Older posts

Quantum Computing News

Quantum Zeitgeist covers the business, science and technology of quantum computing. Founded in 2018, we publish daily news, company analysis and original features for researchers, investors and technology leaders. Explore over 940 quantum companies across 47 countries in our Quantum Navigator.

Quantum Information Summit 2026
Quantum Companies, Quantum Computing Start-Up and Quantum Eco System
[Ad] The classic Textbook for learning Quantum Programming
[Ad] Pre Order This New Book On Quantum Programming In Depth
[Ad] Pre-Order This New Book On Quantum Programming In Depth

[Ad]

Quantum Computing News
Bluesky Logo

Quantum Computing

  • Quantum Applications
  • Quantum Books
  • Quantum Computing Courses
  • Quantum Machine Learning
  • Quantum Jobs
  • Quantum Programming

Quantum Computing

  • Quantum Cloud
  • Quantum Landscape
  • Quantum Cryptography
  • Quantum Finance
  • Quantum Hardware
  • Quantum Internet
  • Quantum Investment

Technology

  • Artificial Intelligence
  • Analog Computing
  • Deep Tech
  • Emerging Technology
  • High Performance Computing
  • Machine Learning
  • Space
  • Science
  • Robotics

About Us

  • Terms and Conditions
  • Privacy Policy
  • Contact Us

Disclaimer: All material, including information from or attributed to Quantum Zeitgeist or individual authors of content on this website, has been obtained from sources believed to be accurate as of the date of publication. However, Quantum Zeitgeist makes no warranty of the accuracy or completeness of the information and Quantum Zeitgeist does not assume any responsibility for its accuracy, efficacy, or use. Any information on the website obtained by Quantum Zeitgeist from third parties has not been reviewed for accuracy.

Copyright 2019 to 2025 The Quantum Zeitgeist website is owned and operated by Hadamard LLC, a Wyoming limited liability company.

Manage Consent
To provide the best experiences, we use technologies like cookies to store and/or access device information. Consenting to these technologies will allow us to process data such as browsing behavior or unique IDs on this site. Not consenting or withdrawing consent, may adversely affect certain features and functions.
Functional Always active
The technical storage or access is strictly necessary for the legitimate purpose of enabling the use of a specific service explicitly requested by the subscriber or user, or for the sole purpose of carrying out the transmission of a communication over an electronic communications network.
Preferences
The technical storage or access is necessary for the legitimate purpose of storing preferences that are not requested by the subscriber or user.
Statistics
The technical storage or access that is used exclusively for statistical purposes. The technical storage or access that is used exclusively for anonymous statistical purposes. Without a subpoena, voluntary compliance on the part of your Internet Service Provider, or additional records from a third party, information stored or retrieved for this purpose alone cannot usually be used to identify you.
Marketing
The technical storage or access is required to create user profiles to send advertising, or to track the user on a website or across several websites for similar marketing purposes.
  • Manage options
  • Manage services
  • Manage {vendor_count} vendors
  • Read more about these purposes
View preferences
  • {title}
  • {title}
  • {title}
Manage Consent
To provide the best experiences, we use technologies like cookies to store and/or access device information. Consenting to these technologies will allow us to process data such as browsing behavior or unique IDs on this site. Not consenting or withdrawing consent, may adversely affect certain features and functions.
Functional Always active
The technical storage or access is strictly necessary for the legitimate purpose of enabling the use of a specific service explicitly requested by the subscriber or user, or for the sole purpose of carrying out the transmission of a communication over an electronic communications network.
Preferences
The technical storage or access is necessary for the legitimate purpose of storing preferences that are not requested by the subscriber or user.
Statistics
The technical storage or access that is used exclusively for statistical purposes. The technical storage or access that is used exclusively for anonymous statistical purposes. Without a subpoena, voluntary compliance on the part of your Internet Service Provider, or additional records from a third party, information stored or retrieved for this purpose alone cannot usually be used to identify you.
Marketing
The technical storage or access is required to create user profiles to send advertising, or to track the user on a website or across several websites for similar marketing purposes.
  • Manage options
  • Manage services
  • Manage {vendor_count} vendors
  • Read more about these purposes
View preferences
  • {title}
  • {title}
  • {title}