Research utilising the relativistic Hartree-Fock-Bogoliubov model demonstrates that tensor forces, originating from pion exchange, significantly influence nuclear clustering in neon nuclei. These forces modify single-particle levels and reduce excitation energies, promoting clustering, particularly in superdeformed prolate excited states, as evidenced by nucleonic localisation functions.
The structure of atomic nuclei, governed by the strong nuclear force, continues to reveal subtle complexities as physicists probe the interactions between constituent protons and neutrons. Recent research focuses on understanding how specific components of this force, notably the ‘tensor force’ arising from pion exchange, influence the formation of ‘alpha clustering’, where groups of two protons and two neutrons bind together within the nucleus. This phenomenon is particularly evident in lighter nuclei, impacting their stability and decay pathways. Zhao Jing Chen, Bao Yuan Sun, and colleagues at the MOE Frontiers Science Center for Rare Isotopes, Lanzhou University, investigate these effects in neon, utilising a relativistic model to explore the influence of the tensor force on alpha clustering at both the nucleus’s ground state and a highly deformed excited state, as detailed in their article, ‘Impact of pion tensor force on alpha clustering in Ne’.
The structure of light atomic nuclei presents a continuing challenge to nuclear physics, requiring sophisticated theoretical models to describe their behaviour accurately. Current research investigates the complex interplay between nuclear deformation, tensor forces, and the formation of α-clusters – tightly bound groups of four nucleons, consisting of two protons and two neutrons – within these nuclei. Researchers employ the axially deformed relativistic Hartree-Fock-Bogoliubov model, a theoretical framework that combines relativistic quantum mechanics with the Bogoliubov transformation, to explore clustering phenomena in Neon-20 ($^{20}$Ne). The Bogoliubov transformation accounts for pairing correlations, where nucleons tend to pair up with opposite spins and momenta, influencing nuclear stability.
Calculations demonstrate that the inclusion oftensor forces, arising
Calculations demonstrate that the inclusion of tensor forces, arising from the exchange of pions – fundamental particles mediating the strong nuclear force – significantly alters the energy levels of single particles within the nucleus. These forces, which depend on the relative orientation of nucleon spins and orbital angular momentum, enlarge the splitting between degenerate, or equally energetic, spherical orbits when the nucleus adopts a prolate, elongated, deformed shape. This alteration in the energy landscape impacts nuclear stability and influences decay pathways.
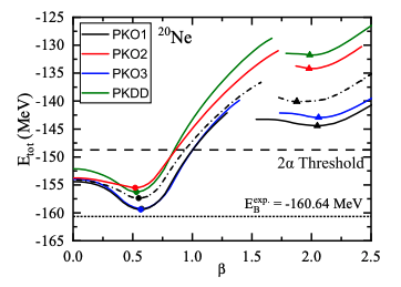
This effect lowers the excitation energy associated with the superdeformed prolate state, bringing theoretical predictions into closer agreement with experimentally observed thresholds for Neon-20 decay modes. This validation reinforces the model’s accuracy and predictive power, confirming its ability to represent nuclear behaviour accurately. Researchers characterise potential α-clustering configurations by analysing the nucleonic localisation function, a mathematical tool that maps the probability density of nucleons, providing a visual representation of cluster formation and distribution within the nucleus.
While α-clustering contributions remain modest in the ground state of Neon-20, the tensor force dramatically alters the density profile and nucleon localisation in the superdeformed excited state. This demonstrates its significant influence on nuclear structure and cluster formation, reshaping the distribution of nucleons within the nucleus. This change is further demonstrated by examining the mixing of spherical basis components within the single-particle levels, revealing how the tensor force reshapes the wavefunctions and influences the overall nuclear density.
These findings highlight the crucial role of tensor
These findings highlight the crucial role of tensor forces, coupled with nuclear deformation, in both the formation and stabilisation of α-clustering phenomena. This offers insights into the complex interplay of forces governing nuclear structure and contributes to a more complete picture of nuclear stability and decay pathways, advancing our understanding of the fundamental forces that bind atomic nuclei together.
🗞 Impact of pion tensor force on alpha clustering in Ne
🧠 DOI: https://doi.org/10.48550/arXiv.2506.16947
