Conical Intersections (CIs) are crucial in photochemical reactions such as vision and photosynthesis. Detecting and characterizing CIs is challenging with current methods, but quantum computing offers a promising solution. Variational quantum algorithms (VQAs) can prepare and measure quantum states with relatively low-depth circuits. However, the noise introduced by sampling and the convergence of the cost function present challenges. A study proposes a hybrid quantum algorithm to detect CIs, demonstrating its application on small models of the formaldimine molecule. This approach could lead to more efficient methods for studying photochemical reactions and understanding complex chemical processes.
What are Conical Intersections and Why are They Important in Quantum Computing?
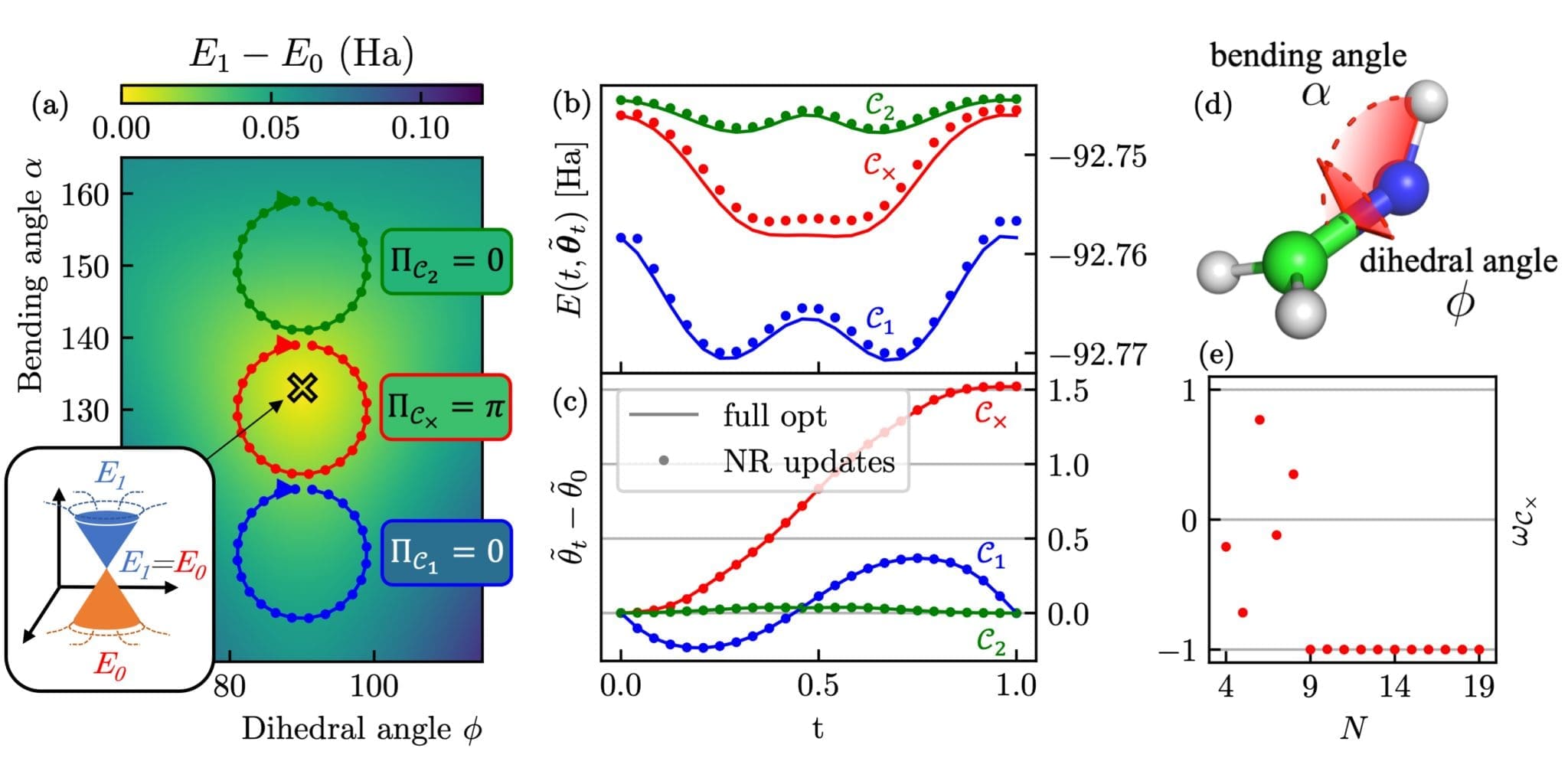
Conical intersections (CIs) are points of degeneracy in the Born-Oppenheimer molecular structure Hamiltonians, where two potential energy surfaces intersect. These intersections are protected by the symmetries of the Hamiltonian, which ensures that any loop in parameter space around a conical intersection has a quantized Berry phase. CIs play a significant role in photochemistry, mediating reactions such as photoisomerization and nonradiative relaxation, which are key steps in processes such as vision and photosynthesis. Therefore, detecting the presence and resolving the properties of CIs is crucial for computing reaction and branching rates in photochemical reactions.
However, studying these processes requires electronic structure methods capable of accurately modeling both the shape and the relative energies of the two intersecting potential energy surfaces. This requirement poses challenges for the currently available methods. Given the need to develop novel methods for identifying and characterizing CIs, quantum computers present themselves as a highly promising option for this task.
How Can Quantum Computing Help in Detecting Conical Intersections?
Quantum computing has long been driven by the desire to simulate interacting physical systems, such as molecules, as a novel means of investigating their properties. This is typically achieved by preparing eigenstates of molecular Hamiltonians in quantum devices, which can natively store and process quantum states. This task would otherwise require an exponentially-scaling classical memory. Recently, with the first noisy and intermediate-scale quantum devices (NISQ) being built, it became increasingly important to research tailored and robust algorithms that minimize the quantum device requirements.
Variational quantum algorithms (VQA), such as the variational quantum eigensolver (VQE) and its variations, caught the spotlight in this context as they allow to prepare and measure quantum states with circuits of relatively low depth. The key feature of VQAs is the repeated execution of short parameterized quantum circuits on the quantum device, from which measurement results are sampled. These results are used to estimate a cost function, which is then minimized by varying the parameters defining the gates of the quantum circuit.
What are the Challenges in Using Quantum Computing for Detecting Conical Intersections?
Despite the potential of quantum computing in detecting CIs, there are several challenges that need to be addressed. Due to the noise introduced by sampling, a relatively large number of circuit runs and measurements are typically needed to estimate the cost function accurately. In chemistry, where VQEs are often proposed as a method to resolve ground state energies to high accuracy, the number of required samples to achieve such accuracy can become prohibitively large.
Furthermore, the convergence of the cost function to an optimum is typically only suggested heuristically and it is proven to be problematic in some cases that lack such heuristic structure. Therefore, it is compelling to suggest VQAs that can access quantities that are less reliant on the precision of the cost function.
What is the Proposed Solution for Detecting Conical Intersections Using Quantum Computing?
In the study conducted by Emiel Koridon, Joana Fraxanet, Alexandre Dauphin, Lucas Visscher, Thomas E OBrien, and Stefano Polla, a hybrid quantum algorithm was proposed to detect conical intersections. The algorithm shows that for real molecular Hamiltonians, the Berry phase can be obtained by tracing a local optimum of a variational ansatz along the chosen path and estimating the overlap between the initial and final state with a control-free Hadamard test.
By discretizing the path into N points, the algorithm can use N single Newton-Raphson steps to update the state non-variationally. Since the Berry phase can only take two discrete values, 0 or π, the procedure succeeds even for a cumulative error bounded by a constant. This allows bounding the total sampling cost and readily verifying the success of the procedure. The application of the algorithm was demonstrated numerically on small toy models of the formaldimine molecule H 2CNH.
What are the Future Prospects of the Proposed Solution?
The proposed hybrid quantum algorithm for detecting conical intersections presents a promising approach to overcome the challenges in studying photochemical reactions. However, there are paths towards improving convergence and potential applications that need to be explored.
The algorithm’s success, even for a cumulative error bounded by a constant, allows bounding the total sampling cost and readily verifying the procedure’s success. This feature could be leveraged to develop more efficient and accurate methods for detecting CIs and studying photochemical reactions.
Moreover, the algorithm’s application on small toy models of the formaldimine molecule H 2CNH provides a proof of concept that can be extended to more complex molecular systems. This opens up new possibilities for using quantum computing in studying and understanding complex chemical processes.
Publication Date: 2024-02-20
Authors: Emiel Koridon, Joana Fraxanet, Alexandre Dauphin, Lucas Visscher et al.
Source: Quantum
DOI: https://doi.org/10.22331/q-2024-02-20-1259
