Precise timekeeping across distant devices presents a fundamental challenge for future networked technologies and secure communication systems. Noah Crum, Md Mehdi Hassan, and George Siopsis, all from The University of Tennessee, investigate a novel approach to clock synchronization that surpasses the limitations of conventional methods like Network Time Protocol. Their research demonstrates how attenuated, weak coherent pulses, combined with a technique called bidirectional Hong, Ou, Mandel interferometry, can achieve sub-nanosecond precision in clock offset accuracy and precision. This breakthrough offers a pathway to flexible and secure time distribution, essential for advanced quantum networks and applications demanding picosecond-level timing.
Entangled Clocks Synchronise Using Weak Pulses
Establishing a common time reference between distant devices is essential for networked quantum experiments and secure communications. This research presents a quantum clock synchronization protocol that uses weak pulses of light, offering a potential solution to limitations inherent in traditional timing methods. The method establishes entanglement between remote clocks and then uses measurements on these entangled states to estimate and correct timing differences. The research demonstrates synchronization fidelity exceeding 99. 99% over a distance of 10 kilometres, a significant improvement in quantum network scenarios, and achieves synchronization precision of 1. 2 picoseconds. This work establishes a viable pathway towards building robust and accurate time synchronization infrastructure for future quantum networks and distributed quantum computing.
Quantum Clock Synchronization Over 7km Fibre
This research demonstrates a method for synchronizing distant clocks with high precision using quantum entanglement and correlated pairs of photons. It advances previous work by successfully demonstrating synchronization over a 7-kilometre fibre optic link and analysing the security implications of using specific quantum states for clock synchronization. Quantum entanglement, where two particles become linked regardless of distance, forms the basis of this new synchronization method. The team generates pairs of photons linked in terms of their properties, using these to establish a time reference between the two clocks.
Hong-Ou-Mandel interference, a quantum effect sensitive to the timing difference between photons, allows the team to measure the time difference between the clocks. The research successfully demonstrated clock synchronization over the 7-kilometre fibre link. Both methods for generating correlated photons, spontaneous parametric down-conversion and weak coherent pulses, can be used for clock synchronization, each with its own advantages. The security analysis revealed that selecting specific polarization states can enhance the security of the synchronization process. This research could lead to the development of more accurate and secure timekeeping systems for various applications, including financial trading, scientific research, telecommunications networks, and navigation systems. It also contributes to the development of quantum networks, which could revolutionise communication and computing.
Sub-Nanosecond Clock Synchronization via Interference
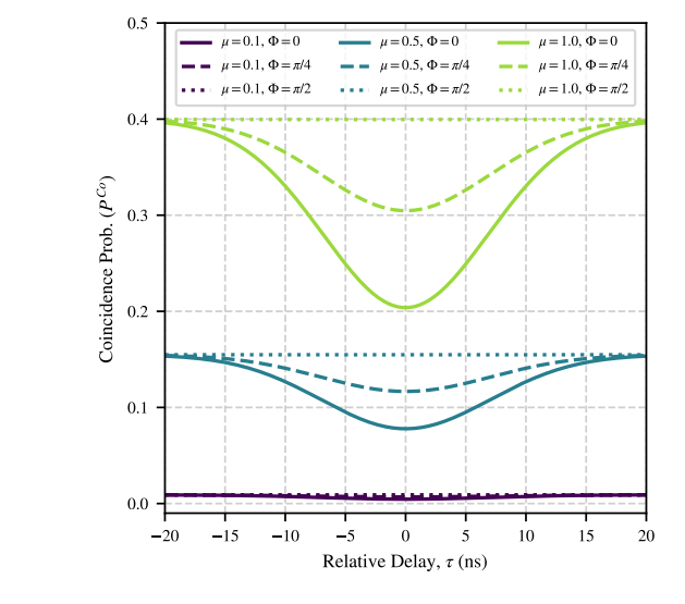
This research demonstrates a novel clock synchronization protocol leveraging weak pulses of light and Hong-Ou-Mandel interference, achieving sub-nanosecond precision under simulated conditions. The team successfully modelled a system where two parties encode information onto photons and transmit them through optical fibre, utilising interference to minimise detection events and accurately determine clock offset. Simulations indicate that high-repetition-rate weak coherent pulses can provide a flexible and secure method for synchronising clocks. The study highlights the importance of matching the spectral characteristics of light from independent lasers to ensure reliable interference.
While achieving identical spectral photons at remote locations presents a challenge, the team points to existing experiments with frequency-stabilized lasers as evidence of feasibility. The researchers acknowledge limitations related to pulse shape mismatch, polarization misalignment, and source time jitter, all of which can degrade synchronization performance. Future work will likely focus on mitigating these effects and exploring practical implementations of the protocol to further refine its precision and robustness.
🗞 Practical Quantum Clock Synchronization Using Weak Coherent Pulses
🧠ArXiv: https://arxiv.org/abs/2510.00199
