The exotic behaviour of magnetic materials is pushing the boundaries of modern physics, and recent research focuses on a particularly unusual class called altermagnets. Rundong Yuan, Wojciech J. Jankowski, and colleagues from the University of Cambridge and Beijing Normal University demonstrate a new way to identify and characterise these materials using light. The team reveals that altermagnetic magnons, which are wave-like disturbances carrying spin information, possess a unique geometric structure detectable through the scattering of specifically tailored light pulses. This discovery is significant because it provides a universal, optical method to distinguish altermagnets from more conventional antiferromagnets, relying on the chirality patterns of their magnons rather than complex topological properties, and opens new avenues for manipulating spin-based information technologies.\n\nMagnons with momentum-dependent chirality represent a key signature of altermagnets. Researchers identify bicircular light as a definitive optical probe for chiral altermagnetic magnons, selectively targeting their quantum geometry induced by an alteration of magnonic chirality. The study demonstrates that in d-wave altermagnets, under the influence of a canting magnetic field, altermagnetic magnons realise a nontrivial quantum geometry, resulting in an enhancement of nonlinear second-order light-magnon interactions, and the scattering of bicircular pulses effectively probes the resulting magnon quantum geometry.\n\n
Magnon Chirality Control in Altermagnetic Materials
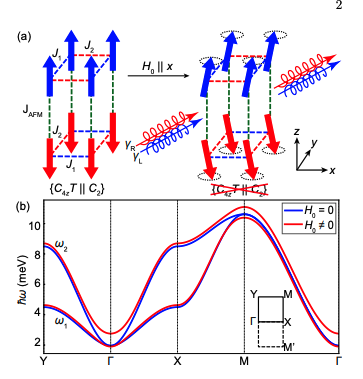
\n\nThis research explores the fascinating world of magnonics, the study of spin waves called magnons, and focuses on a recently discovered class of materials called altermagnets. Unlike conventional magnets, altermagnets exhibit intentionally altered chirality, or handedness, in their magnons, significantly impacting how these materials interact with light and opening up possibilities for new technologies. Researchers are investigating how this altered chirality influences the material’s optical response by examining the quantum geometry of the magnons and how light couples to these spin waves. A key distinction lies in the comparison to antiferromagnets, where chirality is inherent to the magnetic order.\n\nAltermagnets, however, allow for controlled manipulation of this chirality, leading to distinct properties and a non-trivial magnonic quantum metric, a measure of the geometric properties of the magnon bands. This metric influences how light interacts with the spin waves, and researchers are using bicircularly polarized light to probe this interaction, highlighting the potential of altermagnets for future applications. The research details how the strength of the light-magnon coupling is significantly enhanced in altermagnets, indicating a stronger interaction between light and the spin waves, directly linked to the altered chirality and the resulting magnonic quantum metric. The team also demonstrates that the magnonic Wilson loop, a measure of the topological properties of the magnon bands, is non-trivial in altermagnets, further distinguishing them from antiferromagnets. The use of bicircularly polarized light allows for targeted probing of these properties, providing a powerful tool for characterizing altermagnetic materials and potentially enabling the creation of new devices with enhanced performance and functionality.\n\n
Bicircular Light Probes Chiral Altermagnetic Magnons
\n\nResearchers have discovered a novel method for identifying and characterizing altermagnets, a recently predicted class of magnetic materials. These materials possess unique magnetic excitations called altermagnetic magnons, which exhibit chirality, a handedness in their spin, despite having no net magnetic moment. This chirality arises from the specific arrangement of spins within the material and represents a fundamental difference from antiferromagnets. The team demonstrated that these chiral magnons can be selectively probed using bicircular light, a specific type of polarized light, in the presence of a canted magnetic field.\n\nThis technique effectively acts as an optical fingerprint, revealing the geometry induced by the magnons’ chirality, even in materials where the overall magnonic topology is simple. This simplifies the identification process and broadens the range of materials that can be investigated. The research reveals that the chirality of altermagnetic magnons leads to a unique geometric arrangement within the material’s momentum space, influencing how the magnons propagate. This geometry is revealed through changes in the phase of the light interacting with the magnons, and is significantly enhanced by the material’s quantum metric, a property describing the curvature of the electronic bands. The team found that this enhancement of light-matter coupling is particularly strong in altermagnets, making them uniquely suited for detection via nonlinear bicircular Raman spectroscopy. This new approach provides a direct and sensitive way to identify altermagnets based on their magnonic chirality, opening new avenues for materials discovery and characterization in the field of magnetism.\n\n
Bicircular Light Probes Altermagnetic Magnon Geometry
\n\nThis research establishes a novel method for identifying altermagnetism, a specific magnetic order, using the interaction between light and magnons, quantized spin waves. The team demonstrates that by illuminating altermagnetic materials with bicircular light, a unique response arises due to the geometry of the magnons within these materials. This response, specifically an enhanced nonlinear interaction, serves as a distinct signature, allowing researchers to differentiate altermagnets from conventional antiferromagnets. The findings reveal that the scattering of bicircular light effectively probes the geometric properties of these magnons, even when the overall magnonic topology is simple.\n\nThe study confirms this principle through detailed modelling of a d-wave altermagnet, showing that a canting magnetic field enhances the light-magnon coupling around specific points in the material. The researchers acknowledge that while their work focuses on a particular type of altermagnet, the underlying principle of using light to detect magnonic geometry should apply to other altermagnetic materials with different lattice structures. The absence of this optical effect in antiferromagnets provides a clear and definitive criterion for confirming the presence of altermagnetic order and its unique spin excitations.\n\n
\n🗞 Quantum Geometry of Altermagnetic Magnons Probed by Light
\n🧠 ArXiv: https://arxiv.org/abs/2508.02781\n
