Metallic states exhibiting properties beyond conventional understanding have intrigued physicists for decades, appearing across a wide range of materials, and a key challenge remains identifying the underlying microscopic mechanisms driving this behaviour. Fabian Eickhoff from the Institute of Software Technology at the German Aerospace Center, and colleagues, now present a detailed investigation into a three-orbital Hubbard model, revealing a transition to an orbital-selective Mott phase. Their work, employing advanced theoretical techniques, demonstrates the emergence of power-law spectra and asymptotic scaling in both charge and spin channels, a finding that extends across multiple decades in frequency and temperature, and offers new insights into strongly interacting electron systems. This discovery represents a significant step towards understanding these complex metallic states and establishing a theoretical framework for their description.
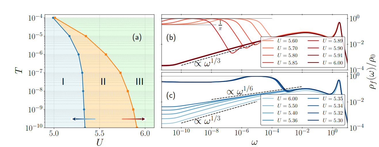
Liar behaviour remains a major theoretical challenge, as these features often originate from strong quantum fluctuations in strongly interacting electron systems. This research investigates a three-orbital Hubbard model at a high-symmetry point that hosts a transition from a metallic to an orbital-selective Mott (OSM) phase. Employing single-site dynamical mean-field theory combined with full-density-matrix numerical renormalization group, the team charts the temperature and interaction strength phase diagram and obtains high-resolution real-frequency dynamics, providing unprecedented insight into this complex quantum phenomenon. Within the OSM regime, the results reveal asymptotically scale-invariant, power-law single-particle spectra and asymptotic ω/T scaling in both charge and spin channels, spanning several decades.
Correlated Electrons, DMFT and Quantum Algorithms
This compilation of research papers focuses on strongly correlated electron systems, quantum impurity problems, dynamical mean-field theory (DMFT), numerical renormalization group (NRG), and increasingly, hybrid quantum-classical algorithms for solving these problems. The core of this work centres on theoretical methods, with a substantial focus on DMFT, a technique for mapping complex interactions onto simpler, single-impurity problems. Researchers also utilise NRG, a complementary method particularly effective for analysing quantum impurities. Slave-boson techniques are employed to solve the impurity models arising in both DMFT and NRG.
The research extends to various physical systems and models, including the Hubbard model, a fundamental framework for understanding strongly correlated electrons, and the Anderson model, which describes localized electrons interacting with a conduction band. The Kondo problem, a cornerstone of quantum impurity physics, is also a key area of investigation, alongside pseudogap Kondo and Anderson models exhibiting unusual low-temperature behaviour. A significant focus lies on the orbital-selective Mott phase, where some electron orbitals are localized while others remain metallic. The research also explores critical phenomena and phase transitions, including the Mott transition, a metal-insulator transition driven by strong electron interactions, and quantum critical points, where quantum fluctuations dominate.
Scaling laws, such as ω/t scaling, describe the universal behaviour of dynamical quantities near these critical points. A recent trend highlights the use of hybrid quantum-classical algorithms, with researchers attempting to implement DMFT on quantum computers, a challenging task requiring the manipulation of many-body wavefunctions. More near-term goals involve using quantum computers to solve the single-impurity problem within DMFT, employing techniques like variational quantum eigensolvers and quantum simulation of impurity models. Computational tools, such as the Python library mpmath for arbitrary-precision arithmetic and the NRG Ljubljana software package, are essential for these calculations. The increasing focus on quantum computing indicates a growing interest in tackling problems intractable for classical computers, although challenges remain due to limitations in current quantum hardware. Accurate numerical methods, like sum-rule conserving NRG and high-precision arithmetic, are crucial for obtaining reliable results.
Orbital-Selective Mott Phase Exhibits Power-Law Scaling
Scientists have achieved a breakthrough in understanding strongly interacting electron systems by charting the behaviour of a three-orbital Hubbard model, revealing a transition from a metallic state to an orbital-selective Mott (OSM) phase. Employing single-site dynamical mean-field theory combined with full-density-matrix numerical renormalization group, the team meticulously mapped the phase diagram and obtained high-resolution real-frequency dynamics, providing unprecedented insight into this complex quantum phenomenon. Results demonstrate that within the OSM phase, single-particle spectra exhibit asymptotically scale-invariant, power-law behaviour, indicating a fundamental shift in the system’s properties. Experiments revealed a striking asymptotic ω/T scaling in both charge and spin channels, spanning several decades in frequency and temperature, confirming a robust connection between energy and temperature scales.
This ω/T scaling originates from a self-consistently generated pseudogap impurity problem, indicating a local-moment regime rather than proximity to a lattice quantum critical point. Specifically, the team observed this scaling for temperatures below a crossover scale, T*, which remains finite but large throughout the OSM phase. Measurements confirm that the power-law behaviour and ω/T collapse are not limited to a narrow range of parameters, but persist across a broad spectrum of frequencies and temperatures. The research establishes a clean microscopic lattice Hamiltonian with purely local interactions that produces robust ω/T scaling, particularly in the single-particle sector and over many decades in ω/T, a feat previously elusive in condensed matter physics. The team’s model incorporates a three-band Hubbard Hamiltonian with two symmetry-related conduction bands hybridizing locally with a correlated f band, stabilizing the OSM phase through a symmetry-protected node at zero frequency. This innovative approach provides a pathway to understanding emergent phases in quantum materials, including high-temperature superconductors and heavy-fermion compounds, and opens new avenues for exploring the interplay between strong correlations and quantum criticality.
Orbital Selectivity and Scale Invariance Revealed
This research presents a detailed investigation into a complex model of interacting electrons, revealing behaviour that extends beyond the established Landau Fermi-liquid paradigm. Scientists explored a three-orbital Hubbard model, employing advanced computational techniques to map its phase diagram and examine the resulting electronic properties. Their work demonstrates the emergence of an orbital-selective Mott (OSM) phase, a state of matter where some electron orbitals exhibit strong interactions while others remain relatively free. Crucially, the team discovered that within this OSM phase, the system displays asymptotically scale-invariant behaviour, meaning its properties remain consistent regardless of changes in energy or temperature scales.
This manifests as power-law relationships in the single-particle spectra and, notably, as ω/T scaling in both charge and spin channels over a broad range of frequencies and temperatures. This ω/T scaling, where responses collapse when plotted against the ratio of frequency to temperature, suggests a dominant role for temperature as the governing low-energy scale and aligns with theoretical predictions for quantum-critical systems. The authors acknowledge that their calculations are based on a specific model and may not fully capture the complexity of real materials. Future research directions include extending these calculations to more realistic systems and exploring the implications of these findings for understanding anomalous metals and high-temperature superconductivity. This work contributes to a growing body of evidence suggesting that strong electron interactions can lead to novel and unexpected behaviour in materials, challenging conventional theories and opening new avenues for materials discovery.
🗞 Power-Law Spectra and Asymptotic Scaling in the Orbital-Selective Mott Phase of a Three-Orbital Hubbard Model
🧠ArXiv: https://arxiv.org/abs/2509.23758
