Skip to content
Quantum Zeitgeist
  • Quantum Computing
    • Quantum Computing News
    • Quantum Research News
    • Quantum Computing Business News
    • Quantum Algorithms
    • Quantum Physics
    • Quantum Hardware
    • Quantum Applications
    • Quantum Security
    • Quantum Sensors
    • Quantum Machine Learning
    • Quantum Funding Landscape
    • Quantum Internet
    • Quantum Programming
    • Quantum Features
    • Quantum Cryptography
    • Quantum Companies
    • Quantum Cloud
  • Technology News
    • Physics
    • Artificial Intelligence
    • Machine Learning
    • Robotics
    • Technology Features
  • Quantum Navigator

Tag: tight-binding model

  • “Glowing blue symmetrical light pattern forming intersecting arcs and lines, creating a futuristic geometric energy grid on a dark background.
    Physics

    Long-Range Interactions Aid Superconductivity Modelling

    by Muhammad Rohail T.February 26, 2026
  • Superconducting gap visualized as smooth symmetric energy valley with no magnetic spin arrows present
    Quantum Physics

    Superconductors’ Pairing Gap Cannot Produce Magnetic Moments

    by Muhammad Rohail T.February 25, 2026
  • Flat Bands in Novel Lattice Confine Electrons and Resist Disorder
    Physics

    Flat Bands Resist Disorder in Novel Lattice

    by Muhammad Rohail T.February 17, 2026
  • New Layered Material Confirmed As Unique Altermagnet, Paving Way for Spintronics
    Quantum Mechanics

    Altermagnet V2Se2O Boosts Spintronics Potential

    by Muhammad Rohail T.February 12, 2026
  • Twisted Graphene’s Electronic Properties Radically Altered by Applied Strain
    Science

    Graphene Strain Radically Alters Electronics

    by Muhammad Rohail T.February 5, 2026
  • Gdgai Research Reveals Stable Phonon Dispersion and 5d/4p Electronic Bands
    Space

    GdGaI: Stable Phonons & Spintronic Potential

    by Muhammad Rohail T.February 4, 2026
  • Photoemission Spectroscopy Reveals Electronic Origin of Density Waves in La NiO Trilayers
    Space

    LaNiO Density Waves Linked to Electronic Origin

    by Muhammad Rohail T.February 4, 2026
  • Pump–Probe Setups Benefit from Theory Describing Multi-Band Systems and Kerr Rotation Effects
    Technology

    Kerr Rotation: Theory Boosts Pump-Probe Setups

    by Muhammad Rohail T.December 19, 2025
  • Quantum Geometry Achieves Nonreciprocal Transport in Layered Hybrid Perovskites
    Quantum Research News

    Perovskite Geometry Enables Nonreciprocal Quantum Transport

    by Muhammad Rohail T.December 17, 2025
  • Bilayer Graphene Cavities Demonstrate Chaos Via Rotation, Revealing Wigner-Dyson Statistics and Ergodic Space
    Technology News

    Graphene Cavities Show Chaos & Wigner-Dyson Statistics

    by Muhammad Rohail T.December 12, 2025
  • Dirty Hyperbolic Dirac Liquids Exhibit Stable Massless Excitations up to Sites with Vanishing Density of States
    Technology News

    Dirac Liquids Show Stable Massless Excitations

    by Muhammad Rohail T.December 6, 2025
  • GrapheneGraphene Strips Support Majorana Modes with Tunable Polarization and Wavefunctions for Fault-tolerant Quantum Computation Strips Support Majorana Modes with Tunable Polarization and Wavefunctions for Fault-tolerant Quantum Computation
    Quantum Computing

    Graphene Hosts Tunable Majorana Modes for Quantum Computing

    by Muhammad Rohail T.December 2, 2025
  • Dual Topology in -Sn Demonstrates Non-Zero Mirror Chern Number and Edge-States above Five Layers
    Quantum Simulation

    Strained Tin Shows Dual Topology & Edge States

    by Muhammad Rohail T.December 1, 2025
  • Voltage-gated Weyl Semimetals Enable Processing-in-Memory Via Tunable Spin-Orbit Torque Random-Access Memory
    Quantum Research News

    Weyl Semimetal RRAM Boosts Processing-in-Memory

    by Muhammad Rohail T.November 11, 2025
  • Large-scale Stochastic Propagation Achieves Order-of-Magnitude Speedup on One Billion Atoms
    Technology

    Stochastic Propagation Speeds Billion-Atom Simulations

    by Muhammad Rohail T.October 30, 2025
  • Hfo2 Capping Enhances Quantum Transport in Atomically Thin MoS2, Modifying Low-Temperature Electronic Behavior
    Quantum Technology, Quantum Research News

    HfO2 Caps Boost Quantum Transport in MoS2

    by Muhammad Rohail T.October 10, 2025
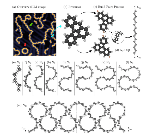
  • Organic Quantum Chains Demonstrate Robust Energy Gaps and Emergent Hierarchy in Localized States
    Quantum Internet

    Organic Chains: Robust Energy Gaps & Hierarchy

    by Muhammad Rohail T.October 7, 2025
  • Machine Learning Force Fields Simulate Large Atomistic Systems, Improving Fidelity for Quantum Qubits and Sensors
    Quantum Sensors

    ML Force Fields Boost Quantum Qubit & Sensor Fidelity

    by Dr. DonovanSeptember 17, 2025
  • OpenSWI Dataset Advances Deep Learning for Surface Dispersion Curve Inversion
    Quantum Research News

    Non-Hermitian Fermions & Chiral Symmetry Models

    by Dr. DonovanAugust 18, 2025
  • Scanning Tunneling Microscopy Reveals Spin Information in Altermagnetic Lieb Lattices
    Quantum Research News

    STM Reveals Spin in Altermagnetic Lieb Lattices

    by Dr. DonovanAugust 12, 2025
  • Unconventional Hybrid-Order Topological Insulator Hosts Second and Third-Order States Simultaneously
    Quantum Technology

    Hybrid Topological Insulator Hosts 2nd & 3rd Order States

    by Dr. DonovanJuly 31, 2025
  • Strain Tuning Drives Topological Phase Transitions and Chern Number Reversal in Altermagnet
    Quantum Research News

    Strain Tunes Chern Number in Chromium Oxide

    by Dr. DonovanJuly 31, 2025
  • Excitonic Effects in Quantum Dots Modulate Harmonic Generation via Semiconductor Bloch Equations
    Quantum Research News

    Quantum Dots Enhance Harmonic Generation

    by Dr. DonovanJuly 18, 2025
  • Topological Insulators and Quantised Hall Effect in Depleted Square Lattices.
    Quantum Computing

    Topological Insulators & Quantized Hall Effect

    by Dr. DonovanJuly 2, 2025
Quantum Zeitgeist

The Quantum Newsletter

Quantum computing's breakthroughs, deals, and research, delivered straight to your inbox.

Read by quantum researchers, engineers, and investors worldwide.

Sponsored Event

Quantum Innovation Summit 2026

28 to 30 September 2026, Dubai. Where quantum technologies enter real-world systems.

Register Now → View agenda and speakers

Latest Quantum News

  • £1.4M TimeLink Program De-risks Xairos Quantum Protocols for Timing
  • Alice & Bob’s €100M Round Gains NVIDIA Venture Capital Support
  • Encryption at Risk as Quantum Computing Speeds Up
  • Three-Energy Atom Powers First Quantum Timekeeping Model
  • Real Qubits Power Labyrinthine Horror Game Levels

Popular Quantum News Articles

  • NVIDIA Blackwell Architecture Solves Complex Quantum Chemistry Structures
  • IBM Consulting and Thales Detail 3 Predictions for Crypto-Agile Resilience
  • The quantum computing industry’s ChatGPT moment might be closer than you think
  • QTREX Quantum to Trade Under New Nasdaq Ticker “QTEX”
  • What is Quantum Entanglement? Complete 2026 Beginner’s Guide
  • Top Quantum Hardware Companies 2026 By Modality
  • Anthropic’s Mythos Model Surfaces 2,000 New Vulnerabilities Highlighting Quantum Threat
  • Simons Foundation Physicists Solve 100-Qubit Dynamics Classically
  • Homeschooled Student Completes Harvard Physics PhD, Joins IBM Quantum Team
  • Quantum Computing Companies In 2026

Browse the Quantum Landscape

  • Top Quantum Hardware Companies
  • Top Quantum Software Companies
  • Quantum Cloud Providers
  • Post-Quantum Cryptography Guide
  • Quantum Navigator (1,000+ Companies)
  • Best Quantum Computing Books
  • History of Quantum Computing
  • Quantum Companies Interactive Map
  • Quantum Computing Glossary
Quantum Companies, Quantum Computing Start-Up and Quantum Eco System
Quantum Computing News
Bluesky Logo

Quantum Computing

  • Quantum Applications
  • Quantum Books
  • Quantum Computing Courses
  • Quantum Machine Learning
  • Quantum Programming

Quantum Computing

  • Quantum Cloud
  • Quantum Landscape
  • Quantum Cryptography
  • Quantum Finance
  • Quantum Hardware
  • Quantum Internet
  • Quantum Investment

Technology

  • Artificial Intelligence
  • Analog Computing
  • Deep Tech
  • Emerging Technology
  • High Performance Computing
  • Machine Learning
  • Space
  • Science
  • Robotics

About Us

  • About Us
  • Write for Us
  • Terms and Conditions
  • Privacy Policy
  • Contact Us

Disclaimer: All material, including information from or attributed to Quantum Zeitgeist or individual authors of content on this website, has been obtained from sources believed to be accurate as of the date of publication. However, Quantum Zeitgeist makes no warranty of the accuracy or completeness of the information and Quantum Zeitgeist does not assume any responsibility for its accuracy, efficacy, or use. Any information on the website obtained by Quantum Zeitgeist from third parties has not been reviewed for accuracy.

Copyright 2019 to 2026 The Quantum Zeitgeist website is owned and operated by Hadamard LLC, a Wyoming limited liability company.

Manage Consent
To provide the best experiences, we use technologies like cookies to store and/or access device information. Consenting to these technologies will allow us to process data such as browsing behavior or unique IDs on this site. Not consenting or withdrawing consent, may adversely affect certain features and functions.
Functional Always active
The technical storage or access is strictly necessary for the legitimate purpose of enabling the use of a specific service explicitly requested by the subscriber or user, or for the sole purpose of carrying out the transmission of a communication over an electronic communications network.
Preferences
The technical storage or access is necessary for the legitimate purpose of storing preferences that are not requested by the subscriber or user.
Statistics
The technical storage or access that is used exclusively for statistical purposes. The technical storage or access that is used exclusively for anonymous statistical purposes. Without a subpoena, voluntary compliance on the part of your Internet Service Provider, or additional records from a third party, information stored or retrieved for this purpose alone cannot usually be used to identify you.
Marketing
The technical storage or access is required to create user profiles to send advertising, or to track the user on a website or across several websites for similar marketing purposes.
  • Manage options
  • Manage services
  • Manage {vendor_count} vendors
  • Read more about these purposes
View preferences
  • {title}
  • {title}
  • {title}