Silicon carbide is increasingly vital for electronics operating in extreme conditions, from high-power systems to the developing field of quantum technology. Megan Powell, alongside colleagues at now investigates the behaviour of commercially available silicon carbide transistors at temperatures close to absolute zero. This research characterises the performance of these transistors, revealing significant degradation in key electrical characteristics as temperatures plummet. The findings demonstrate a loss of stable control over the transistors, potentially caused by the behaviour of charge carriers and defects within the material, and highlight challenges for building reliable quantum computers or other cryogenic electronics based on this technology.
Silicon Carbide Transistor Performance at Cryogenic Temperatures
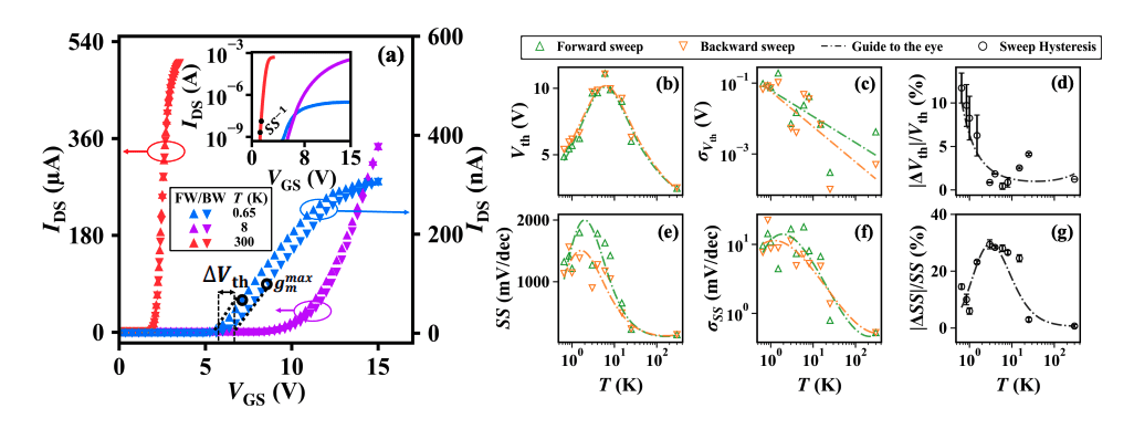
Silicon carbide is gaining attention not only for its established use in high-power electronics but also as a promising material for quantum technologies. Researchers are investigating its potential to host qubits and single-photon sources within its crystal structure. This work assesses the performance of commercially available silicon carbide power transistors at extremely low temperatures, crucial for building integrated quantum circuits and cryo-CMOS electronics. The study focuses on how reliably these transistors control electrical current, specifically examining threshold voltage and subthreshold swing, key indicators of performance and stability.
The results reveal a significant degradation in transistor performance as temperatures drop to 0. 65 Kelvin, a range essential for many quantum applications. Researchers observed substantial hysteresis, meaning the current-voltage relationship depends on the transistor’s history, alongside shifts in threshold voltage and a worsening of subthreshold swing. These effects indicate an instability in the transistor’s ability to control the flow of electrons, likely caused by a combination of charge carriers becoming immobile at low temperatures and a high density of defects within the material.
This performance decline challenges the direct adoption of existing silicon carbide transistors for quantum applications. While the material possesses desirable quantum properties, the instability in electrical control at cryogenic temperatures introduces a significant hurdle. The magnitude of the hysteresis observed suggests that precise and repeatable control of quantum states using these transistors would be difficult to achieve without further improvements in material quality or device design.
Furthermore, the study demonstrates a clear need for careful consideration of these effects when designing cryo-CMOS control electronics. The observed instability could limit the performance and reliability of any circuits built using these transistors at low temperatures. The research highlights that while silicon carbide holds promise for quantum technologies, realizing its full potential requires addressing these fundamental limitations in device performance and stability. The team’s findings provide a crucial baseline for future research aimed at developing more robust and reliable silicon carbide transistors for quantum and cryogenic applications.
Silicon Carbide Fails Cryogenic Quantum Device Test
This research presents a statistical study of silicon carbide power MOSFETs at very low temperatures, assessing their potential for use in cryogenic quantum electronics. The results demonstrate significant performance degradation, including substantial voltage hysteresis, shifts in threshold voltage, and a deterioration in subthreshold swing. These effects indicate instability in electrostatic control, likely stemming from carrier freeze-out and a high density of interface traps, which could hinder the reliable operation of quantum devices or cryo-CMOS electronics.
The findings suggest that, with the current technology examined, silicon carbide is unlikely to be suitable for these applications due to challenges in forming and tuning quantum dots with predictable charge occupancy, and difficulties in achieving the sharp potential barriers needed for precise control of tunneling. Furthermore, the lack of high-quality ohmic contacts at low temperatures poses a problem for fast readout electronics required for single-shot charge detection.
The authors acknowledge that these limitations are rooted in material science issues, such as interface trap density and oxide quality, but note that progress is continually being made in these areas within the silicon carbide power device community, and tailored device designs could offer further improvements.
🗞 Characterisation of commercial SiC MOSFETs at deep-cryogenic temperatures
🧠 ArXiv: https://arxiv.org/abs/2507.23109
