The behaviour of ultracold molecules, confined and manipulated by external fields, offers a novel avenue for investigating fundamental physics beyond traditional condensed matter systems. Researchers are now demonstrating the potential of these systems to emulate complex quantum phenomena, specifically exploring how molecular collisions influence spin dynamics and collective behaviour. A new theoretical study, detailed in ‘Theory of itinerant collisional spin dynamics in nondegenerate molecular gases’, by Reuben R. W. Wang (ITAMP, Center for Astrophysics | Harvard & Smithsonian and Department of Physics, Harvard University) and John L. Bohn (JILA, NIST and Department of Physics, University of Colorado), elucidates the interplay between molecular motion, collisional interactions, and spin coherence in quasi-two-dimensional gases. The work details a mechanism – termed ‘loss-induced autoselection’ – where particle exchange symmetry suppresses decoherence, and proposes strategies for achieving collisional stability using bialkali molecules, potentially realising a platform for exploring complex, many-body quantum systems.\n\n
Ultracold Molecules Demonstrate Unexpected Coherence Enhancement
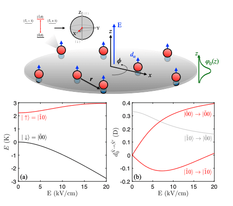
\n\nRecent research utilising ultracold, non-degenerate polar molecules reveals a surprising interplay between particle loss and quantum coherence, offering potential advancements in the control of many-body spin systems. These systems, where the collective behaviour of numerous interacting quantum spins is investigated, are central to both fundamental physics and emerging quantum technologies.\n\nPolar molecules, possessing both an electric dipole moment and intrinsic angular momentum (spin), represent a promising platform for exploring these complex interactions. Researchers confine these molecules to two dimensions using a one-dimensional optical lattice – a periodic potential created by laser light – which encourages significant interactions between them. Precise measurements of Ramsey contrast – a technique used to determine the coherence of a quantum system – on potassium rubidium (KRb) molecules confined in this manner, corroborate theoretical models and validate the experimental methodology.\n\nThe study demonstrates that collisions between these molecules induce spin decoherence, the loss of quantum superposition and a key limitation in quantum information processing. However, a counterintuitive finding reveals that molecular loss – the disappearance of molecules from the system due to specific collision dynamics dictated by quantum statistics – actively suppresses collective spin decoherence. This phenomenon, termed “loss-induced autoselection”, suggests that, under certain conditions, losing molecules can paradoxically enhance the coherence of the remaining system.\n\nThe underlying mechanism relates to the exchange symmetry of identical particles. Collisions that would otherwise lead to rapid decoherence are suppressed because they result in the loss of molecules in specific quantum states. This selective loss effectively ‘filters’ out interactions that degrade coherence.\n\nTo further improve stability, researchers propose utilising bialkali species – molecules composed of alkali metals – with large dipole moments. By carefully tuning the electric field confining the molecules, they demonstrate confinement-induced collisional shielding. This technique suppresses molecular loss across all collision channels, leading to significantly enhanced collisional stability and enabling fully coherent spin mixing dynamics.\n\nThis coherent mixing allows for the realisation of complex quantum operations. Specifically, the system natively implements unitary circuit dynamics – a fundamental building block of quantum computation – with random all-to-all connectivity and U(1) charge conservation. This means molecules can interact with each other in a highly flexible and controlled manner, potentially enabling the simulation of complex quantum systems.\n\nThis work establishes a bridge between the fields of ultracold molecular collisions and many-body spin physics. By utilising non-degenerate bulk molecular gases, researchers propose a controllable platform for investigating nonequilibrium phenomena in itinerant matter – systems where particles are in constant motion. This approach offers a novel route to address fundamental questions in condensed matter physics, quantum information science, and beyond, potentially advancing the development of new quantum technologies.\n\n
