The accuracy of cosmic distance measurements relies on carefully accounting for the dimming and reddening effects of interstellar dust, and a team led by D. M. Skowron, M. L. Fouesneau, and R. Drimmel investigates how variations in dust properties impact these calculations. Current methods often assume a consistent relationship between dust extinction and reddening, but this research demonstrates that this relationship, quantified by the Rv value, actually varies significantly across the Milky Way. By combining detailed models of stellar atmospheres with realistic dust extinction curves, the team reveals that changes in Rv propagate into substantial errors in distance estimates derived from the widely used Wesenheit function, potentially reaching almost 40% for certain measurements. These findings highlight the critical need to account for variable dust properties when determining cosmic distances, and suggest that near or mid-infrared measurements offer a more reliable approach.
Accurate distances to Cepheids form the foundation of the cosmic distance ladder, and the study reveals that traditional methods of correcting for interstellar extinction may introduce systematic errors. The team focused on the total-to-selective extinction ratio, denoted as Rv, and demonstrates that assuming a constant value can significantly impact distance estimates. The research confirms that interstellar extinction is not uniform and varies considerably along the lines of sight to Cepheids.
Scientists utilized detailed three-dimensional dust maps, constructed from observations of various stars, to model extinction more realistically. They employed a sophisticated model that accounts for changes in dust composition, size, and density, revealing that incorporating these more accurate corrections can lead to a smaller estimate for the Hubble Constant, potentially addressing the ongoing Hubble Tension, a discrepancy between different measurements of the universe’s expansion rate. This improved modeling leads to more accurate distance estimates to Cepheid variables, impacting our understanding of the cosmic distance ladder. The findings highlight the need for continued efforts to map interstellar dust in three dimensions and develop more sophisticated extinction models, ultimately improving distance measurements to other astronomical objects like galaxies and supernovae.
Extinction Impacts on Cepheid Distance Calculations
This study addresses systematic biases in distance measurements caused by variations in interstellar extinction, specifically the total-to-selective extinction ratio, Rv. Researchers combined an Rv-dependent extinction curve with a comprehensive grid of stellar atmosphere models to investigate how changes in Rv impact Wesenheit indices and Cepheid distance calculations. This involved generating a large number of stellar spectra, spanning a wide range of temperatures, gravities, and metallicities, and subjecting them to the extinction curve across various extinction values and Rv values. The team employed detailed calculations to model photometric effects and accurately determine integrated extinction in multiple wavelengths.
They carefully distinguished between the extinction parameter R0 and the traditionally used Rv, noting a systematic offset due to differing calibration methods. The research demonstrates that for Cepheid-like stars, variations in Rv are relatively minor, but for cooler stars, the variation can be substantial. By meticulously calculating integrated extinction and exploring the parameter space of stellar properties and extinction values, the team established a robust framework for quantifying and correcting for the effects of variable Rv on distance measurements, ultimately improving the accuracy of cosmological distance scales.
Variable Extinction Impacts Cepheid Distance Measurements
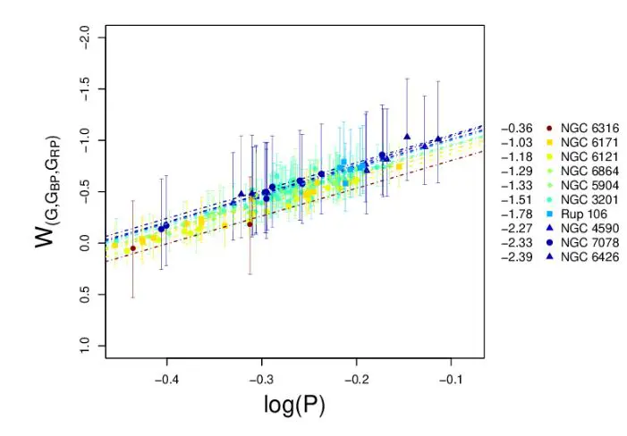
This research demonstrates a significant impact of variable interstellar extinction on distance measurements using pulsating stars, specifically classical Cepheids. Scientists discovered that the Wesenheit function, designed to correct for interstellar reddening, is sensitive to variations in the ratio of total-to-selective extinction, Rv. The team investigated how changes in Rv propagate into Wesenheit magnitudes and, consequently, into calculated Cepheid distances. Results show that variations in Rv within the typical observed range can cause substantial differences in the Wesenheit index, leading to significant distance errors.
The study meticulously derived Rv-dependent coefficients for multiple Wesenheit indices by combining the Rv-dependent extinction curve with stellar atmosphere models, revealing a strong correlation between Rv and the accuracy of distance calculations. Further analysis demonstrates that near-infrared Wesenheit indices are considerably less sensitive to changes in Rv, offering a more robust method for determining distances. This work establishes that accounting for variable Rv is essential when applying period-Wesenheit relations, particularly in the optical regime, or utilizing near or mid-infrared based distances.
Rv Variation Impacts Cepheid Distance Accuracy
This research demonstrates that variations in the total-to-selective extinction ratio, Rv, significantly impact the accuracy of distance measurements derived using Wesenheit functions. By combining an Rv-dependent extinction curve with stellar atmosphere models, scientists calculated how changes in Rv propagate into Wesenheit magnitudes and ultimately affect distance estimates for Cepheid variable stars. The results reveal that typical observed ranges of Rv can create differences in the Wesenheit index, leading to substantial distance errors. The study meticulously derived Rv-dependent coefficients for multiple Wesenheit indices by combining the Rv-dependent extinction curve with stellar atmosphere models, revealing a strong correlation between Rv and the accuracy of distance calculations. Further analysis demonstrates that near-infrared Wesenheit indices are considerably less sensitive to changes in Rv, offering a more robust method for determining distances. This work establishes that accounting for variable Rv is essential when applying period-Wesenheit relations.
🗞 The Effect of a Non-universal Extinction Curve on the Wesenheit Function and Cepheid Distances
🧠 ArXiv: https://arxiv.org/abs/2512.11758
