The behaviour of electrons in novel materials combining transition metal dichalcogenides and topological insulators presents a fascinating challenge to physicists, and recent work sheds new light on this area. Led by L. E. Golub, researchers investigate how two key effects, Rashba and valley-Zeeman spin-splittings, influence the movement of electrons and, crucially, the material’s electrical resistance. This research demonstrates that the valley-Zeeman splitting alone does not affect electron behaviour, but dramatically alters the material’s response to magnetic fields when combined with Rashba coupling, even reversing the direction of electrical conductivity. These findings provide a deeper understanding of electron transport in these complex materials and pave the way for designing new electronic devices with tailored magnetic properties.
The research demonstrates that valley-Zeeman splitting has no effect on weak localisation in the absence of Rashba splitting, but results in a change of the magnetoconductivity sign in Rashba-coupled graphene. Inter-valley scattering also affects the quantum correction to the conductivity, resulting in its sign reversal. Analytical expressions are obtained for the anomalous magnetoconductivity at arbitrary relations between the Rashba and valley-Zeeman splittings, as well as the inter-valley scattering rates. Graphene proximitized by strongly spin-orbit coupled materials attracts considerable attention due to its ability for spin engineering, and the most promising examples are graphene-based systems.
Weak Localization Conductivity Correction Derivation
This document details the theoretical framework used to understand weak localization and magnetotransport in two-dimensional materials like graphene. It outlines the mathematical derivations used to arrive at the presented results, explaining the underlying principles and approximations. The work focuses on understanding how electrons behave when scattered within the material, and how this impacts conductivity. Key to this understanding are concepts like weak localization, a quantum interference effect reducing conductivity due to electron backscattering, and magnetotransport, the study of conductivity changes in a magnetic field.
The document systematically calculates the conductivity correction, a measure of how quantum interference alters conductivity, considering various scattering mechanisms. This involves using a matrix formalism to represent electron scattering processes, allowing for a comprehensive account of different pathways electrons can take. The calculations incorporate the effects of impurity scattering, the fundamental cause of weak localization, and intervalley scattering, which occurs between different valleys in graphene’s unique band structure. Furthermore, the influence of spin-orbit coupling, a quantum mechanical interaction between an electron’s spin and motion, is included, alongside specific effects like Kane-Mele coupling and trigonal warping, which arise from graphene’s hexagonal lattice.
The team employed several approximations to simplify the complex calculations, including assuming weak scattering rates and weak localization effects. These approximations allow for a manageable mathematical treatment while still capturing the essential physics. The final expression for the conductivity correction depends on various parameters, such as scattering rates, energy levels, and the strength of the magnetic field. The document also details the definitions of key terms and coefficients used in the calculations, providing a complete and transparent account of the theoretical framework. This detailed theoretical treatment is crucial for interpreting experimental findings and predicting the behaviour of similar materials. The rigorous derivations and explanations allow other researchers to verify the results and extend the theory to more complex systems. In essence, this document provides a robust foundation for understanding the quantum mechanical effects governing electron transport in two-dimensional materials.
Graphene Conductivity, Rashba and Valley Splitting Effects
Scientists have developed a comprehensive theory describing quantum corrections to conductivity in graphene heterostructures, materials formed by combining graphene with other substances. This work focuses on understanding how electron behaviour is affected by the interplay of Rashba and valley-Zeeman spin splittings, alongside inter-valley scattering. The research establishes analytical expressions for the anomalous magnetoconductivity, detailing how these factors influence electron transport. The team investigated the quantum corrections to conductivity, specifically weak localization, which arises from the interference of electrons following multiple paths.
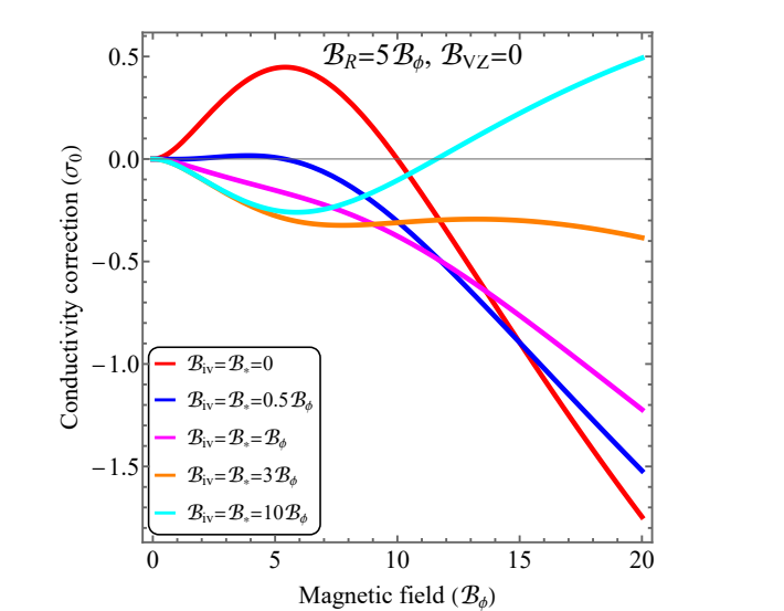
Calculations reveal that in the absence of valley-Zeeman splitting, the system behaves as expected, but the introduction of valley-Zeeman splitting alters the magnetoconductivity sign when coupled with Rashba splitting. This change in sign indicates a shift in the dominant mechanism governing electron transport. Furthermore, the inclusion of inter-valley scattering can reverse the sign of the conductivity correction, transitioning the system from weak antilocalization to weak localization. Detailed analysis of the magnetoconductivity involved constructing a matrix describing the interference of electrons in different spin states.
Weak Localization, Valley Splitting, Magnetoconductivity Reversal
This research details a theoretical development concerning weak localization, a quantum mechanical effect influencing electron conductivity, within specific heterostructures combining different materials. Scientists have demonstrated how the interplay of Rashba and valley-Zeeman spin splittings, alongside inter-valley scattering, significantly alters the behaviour of electrons and, consequently, the material’s conductivity. The team calculated the anomalous magnetoresistance arising from weak localization, revealing that the valley-Zeeman splitting alone does not affect weak localization, but introduces changes in magnetoconductivity when coupled with Rashba splitting. Crucially, the research shows that inter-valley scattering can reverse the sign of the conductivity correction, and can induce transitions between different weak localization regimes. The scientists derived analytical expressions describing magnetoconductivity for various combinations of Rashba and valley-Zeeman splittings, and inter-valley scattering rates, providing a comprehensive framework for understanding these complex interactions. This theoretical advancement allows for the determination of key spin and valley-dependent parameters within graphene heterostructures, potentially guiding the design of novel spintronic devices and materials.
🗞 Interplay of Rashba and valley-Zeeman splittings in weak localization of spin-orbit coupled graphene
🧠 ArXiv: https://arxiv.org/abs/2509.18332
