Understanding the structure of protons and neutrons within atomic nuclei remains a central challenge in nuclear physics, and recent work offers a novel approach to quantifying differences in these structures across different nuclei. Shu-Man Hu and colleagues at the Institute of Modern Physics, Chinese Academy of Sciences, and collaborators present an analysis using Kullback-Leibler divergence, a statistical measure that reveals how much one probability distribution differs from another. This method allows researchers to determine the shape of nuclear structure functions, shedding light on the long-standing ‘EMC effect’ which describes modifications to nucleon structure inside nuclei. The team’s results not only align with existing experimental data, but also extend this methodology to map out the distribution of gluons within nuclei, potentially offering a new perspective on nucleon structure, especially when experimental constraints are limited.
By introducing specific constraints and the “minimum relative entropy” hypothesis, they determine the shape of the structure function in the intermediate-x region, closely connected with the renowned EMC effect. The obtained results are consistent with the latest global fits of experimental data, validating the approach, and extend to the determination of gluon nPDFs, achieving results that exhibit remarkable consistency with global QCD fits. These findings indicate that KL divergence may offer a new window and perspective on the structure and nature of nucleons.
Nuclear PDFs and Parton Distribution Evolution
This research focuses on determining the parton distribution functions (PDFs) within nuclei, and how these differ from those found in single protons. Understanding these PDFs is crucial for studying nuclear physics and high-energy collisions. The Epps21 Collaboration provides a key reference point for modern nuclear PDF studies, with numerous publications detailing the evolution of nuclear PDFs, their impact on various observables, and their connection to nuclear structure. Related work builds upon these findings, while early contributions to nuclear structure functions and understanding nuclear effects have also been made.
Recent research focuses on nuclear structure functions and extracting PDFs, alongside investigations into the role of short-range correlations (SRCs), high-momentum interactions between nucleons within the nucleus, which significantly affect the high-x region of the nuclear PDFs. Alongside empirical studies, theoretical foundations of perturbative QCD and its application to nuclear physics are explored, with foundational texts providing a basis for understanding the field. Further work explores the connection between nuclear PDFs and the transverse momentum distribution of partons. Some research connects nuclear PDFs to the underlying nuclear structure and many-body physics, with historical references to the foundations of probability and its connection to nuclear physics. Calculations of nuclear structure functions from first principles using nuclear many-body theory have also been conducted, alongside studies exploring the implications of nuclear PDFs for heavy ion collisions and understanding initial state effects. The key observations and trends demonstrate a strong focus on nuclear PDFs, the importance of SRCs, a growing connection to first principles calculations, relevance to heavy ion physics, and the importance of historical experimental data.
KL Divergence Quantifies Nuclear Structure Changes
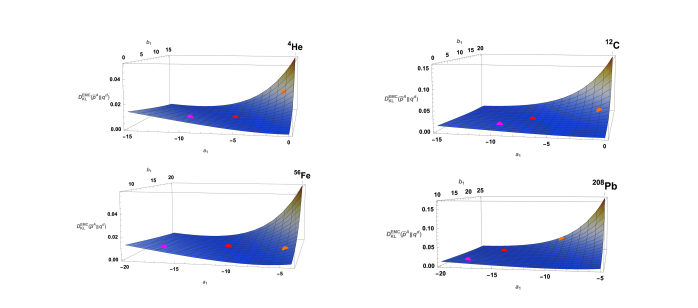
Researchers have developed a new method for investigating the structure of atomic nuclei by quantifying the difference between the behavior of particles within free nucleons and those bound inside a nucleus. This approach utilizes Kullback-Leibler (KL) divergence, a concept from quantum information theory, to measure how the probability distributions of particles change when moving from a free state to being contained within the complex environment of a nucleus. The team’s work builds on the established understanding of parton distribution functions, which describe the momentum carried by constituent particles within a nucleon, and extends it to nuclear environments where these distributions are modified. The core of this research lies in applying KL divergence as a means to quantify these modifications, effectively providing a new lens through which to examine the “EMC effect”, a long-standing puzzle in nuclear physics where the quark distribution within bound nucleons differs from that of free nucleons.
By treating the free nucleon’s distribution as a reference point, researchers can use KL divergence to pinpoint the changes occurring within the nucleus, offering insights into the interactions between particles within the nuclear medium. The results demonstrate strong consistency with existing experimental data and global analyses, validating the approach and suggesting its potential for refining our understanding of nuclear structure. Importantly, this methodology extends beyond simply measuring the changes; it allows for the determination of the quark structure function in the intermediate-x region, a crucial aspect of understanding nuclear behavior. Furthermore, the team successfully applied this method to calculate the distribution of gluons, particles responsible for the strong nuclear force, within the nucleus, achieving results that align remarkably well with current global QCD fits. This consistency reinforces the reliability of the KL divergence approach and its potential to provide less biased results compared to traditional methods. This new tool could be particularly valuable in situations where experimental and theoretical constraints are limited, offering a way to probe the complex internal dynamics of atomic nuclei and refine our understanding of the forces that govern them.
Kullback-Leibler Divergence Reveals Nuclear Structure Modifications
This research presents a novel application of the Kullback-Leibler divergence, a measure commonly used in information theory, to quantify differences between the internal structure of nucleons within atomic nuclei and those of free nucleons. By applying this divergence to parton distribution functions, the team successfully determined the shape of the structure function in the intermediate-x region, a key aspect of the well-known EMC effect, and achieved results consistent with existing experimental data and global fits. This approach offers a new perspective on understanding nuclear modifications to nucleon structure, particularly in situations where experimental and theoretical constraints are limited. Furthermore, the methodology extends to the determination of gluon nuclear parton distribution functions, again yielding results that align well with established global QCD fits. The findings suggest that the Kullback-Leibler divergence can serve as a valuable tool for probing nucleon structure within nuclei.
🗞 An analysis of nuclear parton distribution function based on Kullback-Leibler divergence
🧠 ArXiv: https://arxiv.org/abs/2508.05171
