Yinan Fang from Yunnan University and the Beijing Computational Science Research Center have researched the impact of correlated magnetic noises on two-qubit gates in quantum computing. The study highlights the need for large-scale quantum computational devices and the challenges in building such devices, particularly maintaining uniformity across all qubits. The research also explores the sources of correlated magnetic noises in a simplified two-qubit model and introduces a method to distinguish these noises. The findings provide valuable insights and tools for further research in quantum computing.
What is the Impact of Correlated Magnetic Noises on Two-Qubit Gates?
The study of quantum computing has been a hot topic in recent years, with researchers exploring various aspects of this complex field. One such area of study is the impact of correlated magnetic noises on two-qubit gates. This research was conducted by Yinan Fang from the School of Physics and Astronomy and Yunnan Key Laboratory for Quantum Information at Yunnan University, and the Beijing Computational Science Research Center.
The Need for Large-Scale Quantum Computational Devices
The first part of the research focuses on the need for large-scale quantum computational devices. Fault-tolerant quantum computation requires synergy over a large number of physical qubits. Depending on the error rate, a logical qubit based on the surface code can take thousands of physical qubits to encode. This motivates the construction of large-scale quantum computational devices. Despite that single-qubit and two-qubit gates with the gate fidelity above the fault-tolerant threshold had been achieved across various platforms, only 72 qubits were realized experimentally based on the superconducting circuit. It was not until recently that the logical qubit could be demonstrated.
The Challenges in Building Large-Scale Devices
The second part of the research discusses the challenges involved in building large-scale devices capable of implementing error correction code. One of the difficulties is to maintain uniformity in the characteristic parameters across all the underlying qubits. In this regard, semiconductor-based spin qubits stand out with a unique advantage of being compatible with the matured industrial fabrication technologies. Following this approach, several proposals for building scalable devices had been put forward. However, these scalable proposals usually feature common control lines that borrowed from the CMOS or crossbar architectures. On one hand, they reduce the complexity of control layers and enable the integration of plenty of qubits. On the other hand, the noises imposed on such shared control lines may affect several qubits at the same time, thus resulting in correlated errors among the qubits.
The Impact of Correlated Magnetic Noises
The third part of the research explores several possible sources of correlated magnetic noises in a simplified two-qubit model motivated by the crossbar proposal for scalable quantum computation. To distinguish among those noises, a method based on the interleaved randomized benchmarking (IRB) was applied. In addition to the standard random circuit in the IRB, an additional measurement-induced decoherence process was introduced to selectively address certain components of the noisy quantum channel. Although the investigation is based on a specific model, the method should be generally applicable also to other scenarios.
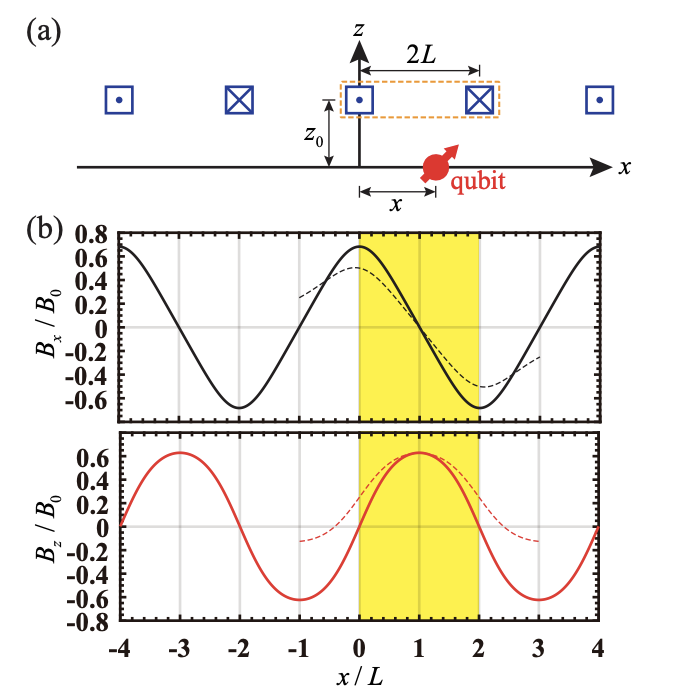
The Magnetic Field Profile
The fourth part of the research introduces the model and derives the magnetic field at the qubit location. The system features an array of equally spacing parallel wires carrying currents in alternating directions. For an estimation of the magnetic field generated by the nth wire at the qubit position, an effective media description was used. The total magnetic field experienced by the qubit then amounts to the sum over the individual contributions from each wire.
Conclusion
In conclusion, the research provides valuable insights into the impact of correlated magnetic noises on two-qubit gates. It introduces a method based on the interleaved randomized benchmarking (IRB) to distinguish among different correlated noises in a particular two-qubit model. This method could be generally applicable to other scenarios, providing a useful tool for further research in the field of quantum computing.
two-qubit gate”
Publication Date: 2024-02-15
Authors: Yinan Fang
Source: arXiv (Cornell University)
DOI: https://doi.org/10.48550/arxiv.2402.09719
